SpectrumDetail Supplier Related Products
WebSite > CAS DataBase List >  71758-10-6More Spectrum > 2-ETHYL-6-SEC-BUTYLANILINE(71758-10-6)IR1

71758-10-6

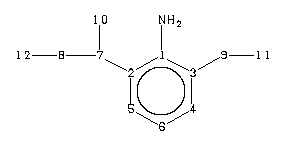
2-ETHYL-6-SEC-BUTYLANILINE

Product Name 2-ETHYL-6-SEC-BUTYLANILINE

CAS71758-10-6

MFC12H19N

MW177.29

More

  • 71758-10-6_13cnmr_0


           ppm   Int.  Assign.
    141.24 680 1 131.27 790 2 127.89 795 3 125.55 905 4 123.70 905 5 118.39 960 6 34.80 1000 7 29.61 920 8 24.53 820 9 20.14 745 10 12.99 765 11 12.28 745 12
    Spectral Code: 13C NMR : in CDCl3

  • 71758-10-6_ir1_0

    Spectral Code: IR : liquid film