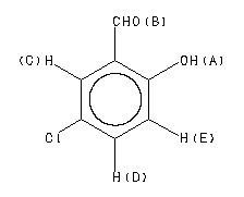
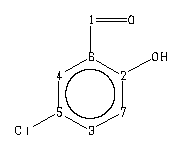
2-CHLORO-5-HYDROXYBENZALDEHYDE
Product Name 2-CHLORO-5-HYDROXYBENZALDEHYDE
CAS7310-94-3
MFC7H5ClO2
MW156.57
More Suppliers
- Amadis Chemical Company Limited
- HANGZHOU LEAP CHEM CO., LTD.
- Aromsyn Co., Ltd.
- Alchem Pharmtech,Inc.
- Hefei TNJ Chemical Industry Co.,Ltd.
- Hebei Chuanghai Biotechnology Co., Ltd
- Changzhou Anxuan Chemical Co., Ltd
- Win-Win chemical CO., Limited
- Aceschem Inc.
- Guangzhou Yuheng Pharmaceutical Technology Co., Ltd



