图谱信息 供应商 相关产品
网站主页CAS数据库列表 100-65-2更多图谱苯基羟胺(100-65-2)核磁图(1HNMR)

苯基羟胺

产品名称 苯基羟胺

CAS号100-65-2

分子式C6H7NO

分子量109.13

展开



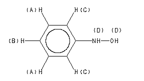
  •     Assign.     Shift(ppm)
    A 7.279 B 6.99 C 6.99 D 6.4 B AND C WERE CONFIRMED BY LAOCN PROGRAM.
    Spectral Code: 1H NMR : 400 MHz in CDCl3



  •        ppm   Int.  Assign.
    149.47 234 1 128.97 1000 2 122.52 405 3 114.84 783 4
    Spectral Code: 13C NMR : in CDCl3


  • Spectral Code: IR : nujol mull


  • Spectral Code: ESR : OXIDATION WITH AIBN IN BENZENE