-
MS-NW-0763 2-vinylpyridine C7H7N (Mass of molecular ion: 105)
Source Temperature: 220 °C Sample Temperature: 150 °C Reservoir, 75 eV
26.0 2.5 27.0 4.1 28.0 2.4 37.0 1.7 38.0 2.4 39.0 4.7 49.0 1.2 50.0 10.7 51.0 20.1 52.0 22.4 52.5 3.1 53.0 3.1 63.0 1.8 74.0 1.9 75.0 1.8 76.0 2.6 77.0 6.6 78.0 16.0 79.0 79.6 80.0 4.8 104.0 55.0 105.0 100.0 106.0 9.3 107.0 1.0 118.0 1.1
parameter in CCl4
-
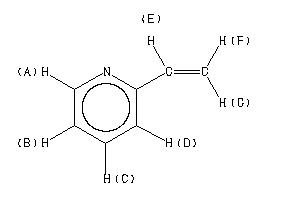
1H NMR 300 MHz C7 H7 N 15 wt% in CCl4 2-vinylpyridine 
Parameter ppm Hz
D(A) 8.470 D(B) 6.996 D(C) 7.477 D(D) 7.165 D(E) 6.712 D(F) 5.368 D(G) 6.205 J(A,B) 4.79 J(A,C) 1.87 J(A,D) 1.01 J(A,E) 0.24 J(A,F) 0.0 J(A,G) 0.0 J(B,C) 7.54 J(B,D) 1.15 J(B,E) -0.24 J(B,F) 0.22 J(B,G) 0.22 J(C,D) 7.83 J(C,E) 0.25 J(C,F) 0.03 J(C,G) 0.03 J(D,E) -0.25 J(D,F) 0.24 J(D,G) 0.07 J(E,F) 10.77 J(E,G) 17.44 J(F,G) 1.66 ROWBOTHAM,J.B. & SCHAEFER,T. CAN.J.CHEM. 52, 136 (1974) J(C,F):LESS THAN 0.03HZ. J(C,G):LESS THAN 0.03HZ. J(D,G):LESS THAN 0.07HZ.
Hz ppm Int.2544.81 8.483 495 2543.84 8.479 578 2543.01 8.477 585 2542.02 8.473 534 2540.05 8.467 530 2539.05 8.463 596 2538.23 8.461 592 2537.23 8.457 521 2251.99 7.507 379 2250.11 7.500 378 2244.30 7.481 795 2242.42 7.475 787 2236.64 7.455 498 2234.76 7.449 490 2154.26 7.181 555 2153.26 7.178 943 2152.26 7.174 579 2146.42 7.155 476 2145.45 7.151 801 2144.42 7.148 482 2105.41 7.018 468 2104.32 7.014 459 2100.59 7.002 475 2099.50 6.998 478 2097.89 6.993 460 2096.80 6.989 423 2093.10 6.977 419 2091.99 6.973 401 2028.25 6.761 620 2017.54 6.725 648 2010.81 6.703 778 2000.10 6.667 815 1870.57 6.235 991 1868.90 6.230 1000 1853.13 6.177 796 1851.46 6.172 788 1616.54 5.388 878 1614.86 5.383 857 1605.82 5.353 822 1604.15 5.347 811
更多供应商





