图谱信息 供应商 相关产品
网站主页CAS数据库列表 100-81-2更多图谱3-甲基苄胺(100-81-2)Raman光谱

3-甲基苄胺

产品名称 3-甲基苄胺

CAS号100-81-2

分子式C8H11N

分子量121.18

展开


  • Mass

    MS-IW-3644          
    m-methylbenzylamine
    C8H11N              (Mass of molecular ion:    121)
    

       Source Temperature: 220 °C
       Sample Temperature: 160 °C
       Reservoir, 75 eV
    

          27.0       3.0
          28.0      16.9
          29.0       3.3
          30.0      27.2
          38.0       2.0
          39.0      11.0
          40.0       1.3
          41.0       3.0
          42.0       1.1
          46.5       1.3
          50.0       3.9
          51.0       9.1
          52.0       3.5
          53.0       3.3
          54.0       1.4
          58.5       3.0
          59.5       8.7
          60.0       1.4
          61.0       1.0
          62.0       3.1
          63.0       7.6
          64.0       1.9
          65.0      14.1
          66.0       1.8
          74.0       1.2
          75.0       1.2
          76.0       1.5
          77.0      29.8
          78.0       8.6
          79.0      17.6
          80.0       2.3
          89.0       4.9
          90.0       2.5
          91.0      42.9
          92.0      10.8
          93.0      47.1
          94.0       4.2
         102.0       1.8
         103.0       8.0
         104.0     100.0
         105.0      27.2
         106.0      57.6
         107.0       4.7
         116.0       1.0
         117.0       2.2
         118.0       5.9
         119.0       3.0
         120.0      88.0
         121.0      36.4
         122.0       3.0
    

400 MHz in CDCl3

90 MHz in CDCl3


  • 1H NMR 399.65 MHz
    C8 H11 N 0.05 ml : 0.5 ml CDCl3
    m-methylbenzylamine
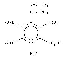
    ChemicalStructure
        Assign.     Shift(ppm)
    A 7.182 B 7.083 C *1 7.054 D *1 7.019 E 3.762 F 2.317 G 1.39

         Hz     ppm     Int.
    

       2879.03   7.204    112
       2871.58   7.186    259
       2864.01   7.167    173
       2831.54   7.086    213
       2830.93   7.084    238
       2830.32   7.082    220
       2829.22   7.080    169
       2823.36   7.065    132
       2822.75   7.064    155
       2822.14   7.062    156
       2821.66   7.061    136
       2821.04   7.059    111
       2815.80   7.046    101
       2815.19   7.045    117
       2814.58   7.043    120
       2814.09   7.042    109
       2813.48   7.040     91
       2809.20   7.030    139
       2808.59   7.028    142
       2801.76   7.011    110
       2801.15   7.010    115
       1503.78   3.763    660
        926.03   2.318   1000
        554.20   1.387    307
    


  • 1H NMR 89.56 MHz
    C8 H11 N 0.04 ml : 0.5 ml CDCl3
    m-methylbenzylamine
    ChemicalStructure
        Assign.     Shift(ppm)
    A 7.19 B 7.10 C *1 7.06 D *1 7.03 E 3.780 F 2.326 G 1.62

         Hz     ppm     Int.
    

        653.38   7.296     33
        646.75   7.222     58
        645.13   7.204     99
        642.00   7.169     41
        640.38   7.151     71
        638.56   7.130    272
        635.19   7.093    419
        634.63   7.087    434
        630.63   7.042     82
        630.06   7.036     91
        629.44   7.029     82
        628.88   7.022     63
        628.19   7.015     56
        627.56   7.008     56
        627.00   7.001     49
        626.38   6.994     42
        625.06   6.980     54
        623.13   6.958     32
        338.56   3.781    455
        208.38   2.327   1000
        145.25   1.622    291
    

in CDCl3



liquid film