
2-二甲氨基苯甲酸甲酯
产品名称
2-二甲氨基苯甲酸甲酯
CAS号10072-05-6
分子式C10H13NO2
分子量179.22
InChIInChI=1S/C10H13NO2/c1-11(2)9-7-5-4-6-8(9)10(12)13-3/h4-7H,1-3H3
InChIKeyZCNSBHAIPOWHJE-UHFFFAOYSA-N
SmilesC(OC)(=O)C1=CC=CC=C1N(C)C
展开
收起
-
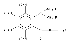
Assign. Shift(ppm)
A 7.654
B 7.327
C 6.94
D 6.84
E 3.881
F 2.839
Spectral Code: 1H NMR : 90 MHz in CDCl3
-
ppm Int. Assign.
168.94 160 1
152.34 211 2
132.24 548 3
131.59 609 4
121.05 234 5
118.69 619 6
116.72 602 7
51.95 491 8
43.64 1000 9
Spectral Code: 13C NMR : in CDCl3
-
Spectral Code: IR : liquid film
-
Spectral Code: Raman : 4880 A,200 M,liquid
2-二甲氨基苯甲酸甲酯(10072-05-6)Raman光谱 相关产品图谱