图谱信息 供应商 相关产品
网站主页CAS数据库列表 10075-85-1更多图谱9,10-双苯乙炔基蒽(10075-85-1)质谱(MS)

9,10-双苯乙炔基蒽

产品名称 9,10-双苯乙炔基蒽

CAS号10075-85-1

分子式C30H18

分子量378.46

展开


  • Mass

    MS-NW-8025          
    9,10-bis(phenylethynyl)anthracene
    C30H18              (Mass of molecular ion:    378)
    

       Source Temperature: 220 °C
       Sample Temperature: 190 °C
       Direct, 75 eV
    

         149.0       1.5
         150.0       1.5
         161.0       2.0
         161.5       1.0
         162.0       2.7
         167.5       1.5
         168.5       1.4
         173.0       1.3
         174.0       3.2
         174.5       1.2
         175.0       3.4
         175.5       1.1
         180.5       1.8
         186.0       2.2
         186.5       1.1
         187.0       8.2
         187.5       4.0
         188.0       4.4
         188.5       1.4
         189.0      20.5
         189.5       6.8
         190.0       1.1
         298.0       1.5
         300.0       4.8
         301.0       1.3
         348.0       1.5
         350.0       2.0
         372.0       2.3
         373.0       1.3
         374.0       9.9
         375.0       5.9
         376.0      11.6
         377.0       5.0
         378.0     100.0
         379.0      33.0
         380.0       5.5
    

400 MHz in CDCl3


  • 1H NMR 399.65 MHz
    C30 H18 saturated in CDCl3
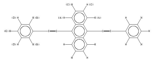
    9,10-bis(phenylethynyl)anthracene
    ChemicalStructure
        Assign.     Shift(ppm)
    A 8.700 B 7.784 C 7.645 D 7.462 E 7.43

         Hz     ppm     Int.
    

       3485.72   8.722     83
       3484.38   8.719    120
       3481.69   8.712    909
       3478.52   8.704    705
       3475.10   8.696    678
       3471.80   8.688   1000
       3469.12   8.681    134
       3467.77   8.678     94
       3116.21   7.798    655
       3114.62   7.794    630
       3112.43   7.788    229
       3109.74   7.782    337
       3108.76   7.779    482
       3108.03   7.777    803
       3106.69   7.774    701
       3104.25   7.768     95
       3064.45   7.668     96
       3063.11   7.665    129
       3060.55   7.659    925
       3057.25   7.650    647
       3053.83   7.642    662
       3050.54   7.634    894
       3047.97   7.627    124
       3046.63   7.624     86
       2992.68   7.489    212
       2991.09   7.485    163
       2990.23   7.483    250
       2988.65   7.479    136
       2986.33   7.473    153
       2983.89   7.467    748
       2982.42   7.463    341
       2981.32   7.460    236
       2978.15   7.452    360
       2976.56   7.448    736
       2975.95   7.447    681
       2974.00   7.442    654
       2972.29   7.438    330
       2970.09   7.432    164
       2967.53   7.426    291
       2966.80   7.424    284
       2963.01   7.415     58
       2961.18   7.410     66
       2959.72   7.406     96
       2958.25   7.403     43
    

in CDCl3



KBr disc



nujol mull