图谱信息 供应商 相关产品
网站主页CAS数据库列表 101-10-0更多图谱调果酸(101-10-0)质谱(MS)

调果酸

产品名称 调果酸

CAS号101-10-0

分子式C9H9ClO3

分子量200.62

展开


  • Mass

    MS-NW-8205          
    2-(m-chlorophenoxy)propionic acid
    C9H9ClO3            (Mass of molecular ion:    200)
    

       Source Temperature: 150 °C
       Sample Temperature: 110 °C
       Direct, 75 eV
    

          26.0       1.8
          27.0       6.9
          28.0       2.4
          29.0       3.4
          37.0       1.0
          38.0       3.7
          39.0       5.9
          43.0       4.7
          45.0       9.0
          50.0       6.2
          51.0       3.8
          53.0       1.4
          55.0       4.3
          61.0       1.7
          62.0       3.1
          63.0      11.8
          64.0       9.0
          65.0      12.8
          66.0       1.4
          73.0       6.9
          74.0       3.7
          75.0      22.1
          76.0       5.0
          77.0       2.2
          77.5       1.2
          85.0       2.3
          91.0      18.2
          92.0       6.4
          93.0       3.1
          99.0       8.1
         100.0       6.6
         101.0       3.1
         102.0       2.4
         111.0      23.4
         112.0       2.8
         113.0       7.8
         119.0       3.3
         120.0       4.6
         125.0       1.1
         127.0       6.5
         128.0      84.9
         129.0       8.2
         130.0      27.3
         131.0       2.0
         155.0     100.0
         156.0       8.9
         157.0      32.2
         158.0       2.9
         200.0      54.4
         201.0       5.7
         202.0      17.9
         203.0       1.8
    

400 MHz in CDCl3


  • 1H NMR 399.65 MHz
    C9 H9 Cl O3 0.032 g : 0.5 ml CDCl3
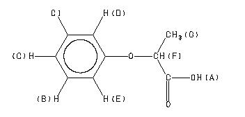
    2-(m-chlorophenoxy)propionic acid
    ChemicalStructure
        Assign.     Shift(ppm)
    A 10.9 B 7.200 C 6.980 D 6.904 E 6.773 F 4.776 G 1.662

         Hz     ppm     Int.
    

       2885.97   7.222    193
       2877.73   7.201    393
       2869.67   7.181    252
       2793.84   6.991    177
       2793.11   6.989    188
       2792.01   6.987    196
       2791.46   6.985    185
       2785.78   6.971    152
       2785.23   6.970    157
       2783.95   6.966    172
       2761.05   6.909    244
       2758.85   6.904    366
       2756.84   6.899    226
       2712.15   6.787    169
       2711.78   6.786    168
       2709.77   6.781    158
       2703.90   6.766    155
       2701.34   6.760    144
       1919.40   4.803     72
       1912.44   4.786    228
       1905.66   4.769    232
       1898.70   4.751     74
        667.28   1.670   1000
        660.32   1.653    994
    

KBr disc



nujol mull