图谱信息 供应商 相关产品
网站主页CAS数据库列表 101-11-1更多图谱N-乙基-N-(3'-磺酸苄基)苯胺(101-11-1)红外图谱(IR1)

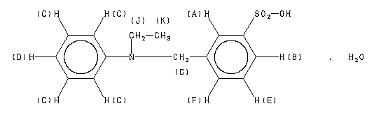
N-乙基-N-(3'-磺酸苄基)苯胺

产品名称 N-乙基-N-(3'-磺酸苄基)苯胺

CAS号101-11-1

分子式C15H17NO3S

分子量291.37

展开



  •     Assign.     Shift(ppm)
    A 7.82 B 7.575 C 7.42 D 7.30 E 7.213 F 7.048 G 4.82 J 3.71 K 1.034
    Spectral Code: 1H NMR : 400 MHz in DMSO-d6


  • Spectral Code: IR : KBr disc