图谱信息 供应商 相关产品
网站主页CAS数据库列表 101-39-3更多图谱α-甲基肉桂醛(101-39-3)质谱(MS)

α-甲基肉桂醛

产品名称 α-甲基肉桂醛

CAS号101-39-3

分子式C10H10O

分子量146.19

展开


  • Mass

    MS-NW-8888          
    alpha-methylcinnamaldehyde
    C10H10O             (Mass of molecular ion:    146)
    

       Source Temperature: 270 °C
       Sample Temperature: 150 °C
       Reservoir, 75 eV
    

          27.0       2.4
          28.0       1.4
          29.0       1.5
          38.0       1.1
          39.0      14.8
          40.0       3.7
          41.0       2.4
          50.0       4.5
          51.0      13.7
          52.0       3.0
          53.0       1.1
          57.5       2.5
          58.0       1.9
          62.0       2.5
          63.0       8.8
          64.0       1.8
          65.0      10.1
          74.0       1.8
          75.0       2.5
          76.0       2.6
          77.0       9.1
          78.0      24.9
          79.0       2.2
          87.0       1.0
          89.0       7.5
          90.0       1.7
          91.0      26.7
          92.0       2.6
         102.0       3.4
         103.0       7.6
         105.0       3.4
         114.0       1.0
         115.0      45.7
         116.0      12.6
         117.0      56.5
         118.0       8.5
         127.0       1.6
         128.0       1.8
         129.0       1.2
         131.0       7.7
         144.0       1.0
         145.0     100.0
         146.0      73.1
         147.0       7.9
    

90 MHz in CDCl3


  • 1H NMR 89.56 MHz
    C10 H10 O 9.8 mol% in CDCl3
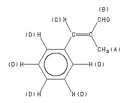
    alpha-methylcinnamaldehyde
    ChemicalStructure
        Assign.     Shift(ppm)
    A 2.06 B 9.563 C 7.24 D 7.30 to 7.64

         Hz     ppm     Int.
    

        856.50   9.564    653
        680.50   7.599     31
        679.81   7.591     43
        679.44   7.587     48
        679.06   7.583     55
        677.75   7.568     86
        677.25   7.562     83
        676.88   7.558     85
        676.13   7.550    121
        675.38   7.542    141
        674.81   7.535    124
        673.69   7.523    122
        671.63   7.500    205
        671.13   7.494    262
        669.44   7.475    534
        668.13   7.461    359
        666.69   7.445    640
        665.94   7.436    589
        665.44   7.431    292
        664.81   7.424    358
        662.44   7.397    308
        661.19   7.383    263
        660.69   7.378    133
        658.75   7.356    257
        657.94   7.347     92
        657.50   7.342    101
        656.31   7.329     78
        655.25   7.317     66
        654.25   7.306     47
        653.38   7.296     40
        652.69   7.288     44
        651.00   7.269    124
        649.19   7.249    223
        647.88   7.235    229
        646.44   7.218     97
        185.25   2.069   1000
        183.88   2.054    973
    

in CDCl3



liquid film