图谱信息 供应商 相关产品
网站主页CAS数据库列表 101-41-7更多图谱苯乙酸甲酯(101-41-7)红外图谱(IR1)

苯乙酸甲酯

产品名称 苯乙酸甲酯

CAS号101-41-7

分子式C9H10O2

分子量150.17

展开


  • Mass

    MS-NW-0013          
    methyl phenylacetate
    C9H10O2             (Mass of molecular ion:    150)
    

       Source Temperature: 200 °C
       Sample Temperature:  65 °C
       Reservoir, 75 eV
    

          15.0       3.4
          18.0       3.6
          28.0       1.1
          31.0       1.1
          38.0       1.0
          39.0       5.8
          41.0       1.7
          45.5       1.4
          50.0       1.3
          51.0       2.9
          59.0       6.5
          62.0       1.3
          63.0       3.7
          64.0       1.2
          65.0      12.2
          77.0       1.0
          89.0       3.7
          90.0       2.7
          91.0     100.0
          92.0       8.0
         105.0       1.2
         118.0       1.3
         119.0       2.7
         150.0      33.1
         151.0       3.3
    

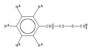
90 MHz in CDCl3


  • 1H NMR 89.56 MHz
    C9 H10 O2 0.04 ml : 0.5 ml CDCl3
    methyl phenylacetate
    ChemicalStructure
        Assign.     Shift(ppm)
    A 7.36 to 7.17 B 3.653 C 3.600

         Hz     ppm     Int.
    

        653.44   7.297     55
        651.06   7.270    861
        647.31   7.228     36
        327.13   3.653   1000
        322.44   3.601    428
    

in CDCl3



liquid film



4880 A,200 M,liquid