图谱信息 供应商 相关产品
网站主页CAS数据库列表 101385-90-4更多图谱(S)-3-羟基-1-苄基吡咯烷(101385-90-4)红外图谱(IR1)

(S)-3-羟基-1-苄基吡咯烷

产品名称 (S)-3-羟基-1-苄基吡咯烷

CAS号101385-90-4

分子式C11H15NO

分子量177.24

展开


  • Mass

    MS-IW-4098          
    (S)-1-benzyl-3-pyrrolidinol
    C11H15NO            (Mass of molecular ion:    177)
    

       Source Temperature: 240 °C
       Sample Temperature: 150 °C
       Reservoir, 75 eV
    

          27.0       1.2
          28.0       2.1
          29.0       1.4
          30.0       1.8
          39.0       3.5
          41.0       4.4
          42.0      89.8
          43.0       5.6
          44.0       3.5
          51.0       2.1
          55.0       2.1
          56.0       1.1
          57.0       1.9
          58.0       1.4
          63.0       1.8
          65.0      15.3
          66.0       1.0
          68.0       1.2
          70.0       1.3
          77.0       2.1
          82.0       1.0
          86.0      34.1
          87.0       1.7
          89.0       2.9
          90.0       1.6
          91.0     100.0
          92.0      12.9
         100.0      22.5
         101.0       1.3
         104.0       3.9
         105.0       2.3
         118.0       2.3
         120.0       2.1
         131.0       1.1
         132.0      24.2
         133.0      34.9
         134.0       4.1
         157.0       1.3
         158.0       1.0
         176.0      15.7
         177.0      36.1
         178.0       5.0
    

400 MHz in CDCl3


  • 1H NMR 399.65 MHz
    C11 H15 N O 0.05 ml : 0.5 ml CDCl3
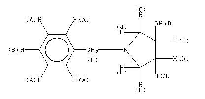
    (S)-1-benzyl-3-pyrrolidinol
    ChemicalStructure
        Assign.     Shift(ppm)
    A 7.28 B 7.24 C 4.273 D 4.00 E 3.579 F *1 2.779 G 2.575 J 2.558 K *2 2.316 L *1 2.131 M *2 1.679 J(C,J)=5.2HZ J(C,G)=3.2HZ

         Hz     ppm     Int.
    

       2918.95   7.304     45
       2914.67   7.294    759
       2914.31   7.293    759
       2909.91   7.282    806
       2904.42   7.268     70
       2902.47   7.263     79
       2901.12   7.260     79
       2899.90   7.257     70
       2896.12   7.247    226
       2892.70   7.239    106
       2891.85   7.236    145
       2890.14   7.232     76
       2888.67   7.229     68
       2887.45   7.225    143
       2885.25   7.220     58
       2884.40   7.218     49
       2883.18   7.215     75
       2881.71   7.211     47
       2878.78   7.204     33
       1717.29   4.297     41
       1714.36   4.290     77
       1711.55   4.283     71
       1709.47   4.278    106
       1706.67   4.271    104
       1704.35   4.265     75
       1701.66   4.258     80
       1698.73   4.251     44
       1596.56   3.995     40
       1430.79   3.581   1000
       1122.44   2.809     58
       1117.07   2.796     68
       1114.01   2.788     94
       1113.40   2.786     90
       1108.64   2.775     95
       1108.03   2.773     97
       1105.10   2.766     79
       1099.73   2.752     73
       1038.45   2.599     32
       1035.28   2.591     41
       1028.20   2.573    230
       1025.51   2.567    436
       1020.39   2.554    271
       1015.38   2.541     54
       1010.13   2.528     60
        937.99   2.348     68
        931.52   2.331     86
        929.44   2.326    116
        922.85   2.310    120
        920.29   2.303     89
        913.82   2.287     84
        869.14   2.175     43
        863.89   2.162     46
        861.57   2.156     53
        860.84   2.154     52
        855.59   2.141     97
        853.27   2.136     46
        850.22   2.128     61
        847.90   2.122     93
        842.65   2.109     63
        841.92   2.107     56
        839.60   2.101     45
        834.23   2.088     38
        686.04   1.717     36
        683.35   1.710     36
        679.44   1.701     44
        677.73   1.696     60
        675.66   1.691     47
        672.00   1.682     56
        669.31   1.675     57
        665.89   1.667     42
        663.82   1.662     53
        661.99   1.657     40
        657.84   1.647     32
        655.27   1.640     30
    

in CDCl3



liquid film