图谱信息 供应商 相关产品
网站主页CAS数据库列表 102-07-8更多图谱1,3-二苯脲(102-07-8)红外图谱(IR1)

1,3-二苯脲

产品名称 1,3-二苯脲

CAS号102-07-8

分子式C13H12N2O

分子量212.25

展开


  • Mass

    MS-NW-0416          
    1,3-diphenylurea
    C13H12N2O           (Mass of molecular ion:    212)
    

       Source Temperature: 190 °C
       Sample Temperature: 130 °C
       Direct, 75 eV
    

          18.0       1.9
          28.0       3.0
          37.0       1.4
          38.0       3.0
          39.0       7.1
          40.0       1.7
          41.0       2.1
          46.5       1.1
          50.0       2.0
          51.0       4.7
          52.0       1.9
          54.0       1.1
          62.0       1.1
          63.0       3.4
          64.0       6.7
          65.0      10.8
          66.0      12.5
          67.0       1.3
          77.0       6.6
          78.0       1.0
          91.0      10.6
          92.0       8.0
          93.0     100.0
          94.0       7.1
         119.0      24.2
         120.0       2.6
         212.0      16.8
         213.0       2.5
    

90 MHz in DMSO-d6


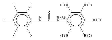
  • 1H NMR 89.56 MHz
    C13 H12 N2 O 0.038 g : 0.5 ml DMSO-d6
    1,3-diphenylurea
    ChemicalStructure
        Assign.     Shift(ppm)
    A 8.63 B 7.46 C 7.29 D 6.980

         Hz     ppm     Int.
    

        772.75   8.629    426
        680.38   7.597     31
        680.00   7.593     30
        679.25   7.585     31
        674.94   7.537    318
        673.31   7.518    528
        671.13   7.494    152
        669.94   7.481     52
        668.13   7.461    248
        667.13   7.449    458
        666.06   7.438   1000
        664.88   7.424    852
        662.50   7.398    165
        659.81   7.368    474
        659.13   7.360    644
        656.88   7.335    163
        654.31   7.306    166
        652.75   7.289    643
        652.00   7.281    794
        650.19   7.260    307
        648.50   7.241     53
        647.50   7.230     43
        645.81   7.211    198
        644.13   7.193    387
        641.75   7.166     59
        638.44   7.129     30
        637.69   7.121     34
        637.38   7.117     34
        631.69   7.054    230
        630.19   7.037    432
        628.50   7.018    232
        627.25   7.004     32
        625.56   6.985    153
        623.81   6.966    334
        623.19   6.959    365
        621.50   6.940     57
        620.69   6.931    112
        617.63   6.897     98
        616.25   6.881    154
        614.75   6.865     81
    

in DMSO-d6



KBr disc



nujol mull



4880 A,200 M,powder