图谱信息 供应商 相关产品
网站主页CAS数据库列表 102-13-6更多图谱苯乙酸-2-甲基丙酯(102-13-6)质谱(MS)

苯乙酸-2-甲基丙酯

产品名称 苯乙酸-2-甲基丙酯

CAS号102-13-6

分子式C12H16O2

分子量192.25

展开


  • Mass

    MS-NW-5236          
    isobutyl phenylacetate
    C12H16O2            (Mass of molecular ion:    192)
    

       Source Temperature: 280 °C
       Sample Temperature: 190 °C
       Reservoir, 75 eV
    

          27.0       4.5
          29.0      23.5
          39.0       8.8
          40.0       1.0
          41.0      31.6
          42.0       1.5
          43.0       3.5
          50.0       1.1
          51.0       2.8
          55.0       1.9
          56.0       5.3
          57.0      58.8
          58.0       2.7
          63.0       3.5
          64.0       1.2
          65.0      13.7
          71.0       1.5
          89.0       3.7
          90.0       3.3
          91.0     100.0
          92.0      29.5
          93.0       1.9
         118.0       1.0
         119.0       9.1
         136.0      42.2
         137.0      14.1
         138.0       1.3
         192.0       2.1
    

90 MHz in CDCl3


  • 1H NMR 89.56 MHz
    C12 H16 O2 0.04 ml : 0.5 ml CDCl3
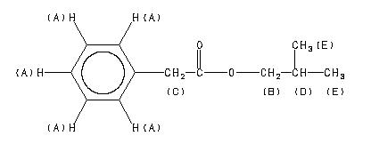
    isobutyl phenylacetate
    ChemicalStructure
        Assign.     Shift(ppm)
    A 7.29 B 3.868 C 3.62 D 1.88 E 0.887

         Hz     ppm     Int.
    

        655.56   7.320     45
        654.06   7.304    143
        652.56   7.287   1000
        649.25   7.250     58
        349.88   3.907    403
        343.31   3.834    441
        324.00   3.618    545
        177.38   1.981     38
        170.50   1.904     48
        163.94   1.831     47
        157.25   1.756     31
         82.31   0.920    955
         78.56   0.878     31
         75.75   0.846    725
    

in CDCl3



liquid film



4880 A,150M,liquid