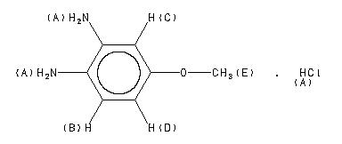
400 MHz in DMSO-d6
-
1H NMR 399.65 MHz C7 H10 N2 O 0.023 g : 0.5 ml DMSO-d6 4-methoxy-o-phenylenediamine hydrochloride 
Assign. Shift(ppm)
A 8.9 B 7.271 C 6.657 D 6.476 E 3.713
Hz ppm Int.3547.21 8.876 33 2910.77 7.284 113 2902.07 7.262 119 2661.74 6.661 85 2659.45 6.655 93 2593.99 6.491 44 2591.71 6.485 47 2585.14 6.469 43 2582.86 6.463 45 1484.22 3.714 1000
更多供应商



