-
MS-NW-8890 n-isopropylbenzylamine C10H15N (Mass of molecular ion: 149)
Source Temperature: 270 °C Sample Temperature: 150 °C Reservoir, 75 eV
27.0 1.8 28.0 3.7 30.0 6.5 39.0 2.9 41.0 3.0 42.0 1.5 43.0 2.3 51.0 2.1 58.0 1.7 63.0 1.2 65.0 8.4 67.0 2.2 72.0 2.1 77.0 3.1 78.0 1.1 79.0 3.1 89.0 1.7 91.0 100.0 92.0 8.4 104.0 1.4 106.0 4.2 132.0 1.6 134.0 41.7 135.0 4.4 148.0 1.6 149.0 2.3
90 MHz in CDCl3
-
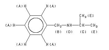
1H NMR 89.56 MHz C10 H15 N 0.04 ml : 0.5 ml CDCl3 N-isopropylbenzylamine 
Assign. Shift(ppm)
A 7.50 to 7.10 B 3.770 C 2.838 D 1.25 E 1.088 J(C,E)=6.2HZ.
Hz ppm Int.659.19 7.361 30 658.56 7.354 31 655.50 7.320 93 652.81 7.290 623 649.56 7.253 95 647.88 7.235 53 646.88 7.223 32 337.63 3.770 468 267.44 2.987 23 261.13 2.916 54 254.94 2.847 71 248.69 2.777 62 242.56 2.709 31 111.94 1.250 74 109.56 1.224 26 100.38 1.121 1000 94.19 1.052 899
更多供应商





