图谱信息 供应商 相关产品
网站主页CAS数据库列表 1020-31-1更多图谱3,5-二叔丁基苯邻二酚(1020-31-1)红外图谱(IR1)

3,5-二叔丁基苯邻二酚

产品名称 3,5-二叔丁基苯邻二酚

CAS号1020-31-1

分子式C14H22O2

分子量222.32

展开


  • Mass

    MS-NW-6527          
    3,5-di-tert-butylpyrocatechol
    C14H22O2            (Mass of molecular ion:    222)
    

       Source Temperature: 240 °C
       Sample Temperature: 190 °C
       Reservoir, 75 eV
    

          17.0       1.3
          18.0       5.9
          27.0       2.2
          29.0       5.8
          39.0       3.6
          41.0      10.3
          43.0       1.4
          51.0       2.1
          53.0       1.7
          55.0       2.1
          57.0      32.9
          58.0       1.5
          65.0       1.8
          67.0       1.1
          68.0       2.7
          74.0       1.0
          77.0       3.7
          78.0       1.0
          79.0       1.7
          81.0       1.9
          82.0       5.9
          91.0       3.8
          93.0       1.8
          96.0       2.8
         103.0       1.2
         105.0       2.0
         107.0       1.2
         108.0       4.4
         115.0       1.6
         119.0       1.4
         121.0       1.2
         123.0       2.1
         131.0       1.1
         133.0       1.3
         135.0       1.5
         136.0       1.4
         137.0       1.3
         149.0       6.5
         150.0       1.4
         151.0       1.8
         163.0       1.3
         164.0       3.5
         165.0       1.6
         177.0       2.7
         179.0       3.9
         191.0       3.6
         192.0       3.6
         207.0     100.0
         208.0      15.0
         209.0       1.4
         222.0      25.7
         223.0       4.0
    

90 MHz in CDCl3


  • 1H NMR 89.56 MHz
    C14 H22 O2 0.043 g : 0.5 ml CDCl3
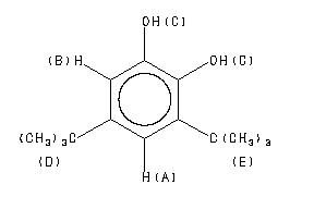
    3,5-di-tert-butylpyrocatechol
    ChemicalStructure
        Assign.     Shift(ppm)
    A 6.886 B 6.737 C 5.08 D 1.411 E 1.257

         Hz     ppm     Int.
    

        617.94   6.900     24
        615.75   6.876     32
        604.38   6.749     45
        602.13   6.724     35
        455.06   5.082     69
        126.44   1.412   1000
        112.56   1.257    826
    

in CDCl3



KBr disc



nujol mull