图谱信息 供应商 相关产品
网站主页CAS数据库列表 102187-19-9更多图谱2-苯氨羰基-1,4-萘醌-4-(4-二乙氨基-2-甲苯基)亚胺(102187-19-9)质谱(MS)

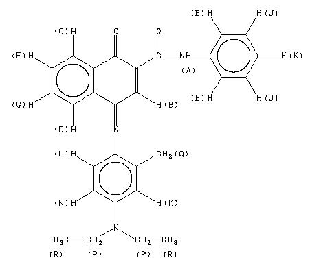
2-苯氨羰基-1,4-萘醌-4-(4-二乙氨基-2-甲苯基)亚胺

产品名称 2-苯氨羰基-1,4-萘醌-4-(4-二乙氨基-2-甲苯基)亚胺

CAS号102187-19-9

分子式C28H27N3O2

分子量437.53

展开


  • Mass

    MS-IW-5095          
    4-(4-diethylamino-2-methylphenylimino)-1-oxo-N-phenyl-1,4-dihydro-2-naphthalenecarboxamide
    C28H27N3O2          (Mass of molecular ion:    437)
    

       Source Temperature: 170 °C
       Sample Temperature: 200 °C
       Direct, 75 eV
    

          28.0       1.5
          29.0       2.1
          39.0       2.7
          41.0       1.2
          51.0       1.6
          52.0       1.1
          63.0       1.5
          64.0       1.5
          65.0       6.6
          66.0       6.9
          77.0       2.8
          78.0       1.4
          79.0       1.0
          89.0       1.7
          90.0       1.5
          91.0       4.7
          92.0       3.6
          93.0      24.5
          94.0       2.1
         102.0       1.2
         104.0       1.1
         108.5       1.2
         115.0       1.3
         116.0       1.0
         117.0       1.8
         118.0       2.4
         119.0       4.3
         123.0       1.6
         130.0       2.7
         132.0       1.4
         133.0       1.8
         134.0       1.6
         137.0       1.7
         143.5       1.2
         144.0       1.1
         147.0       2.4
         148.0       1.1
         151.0       1.1
         161.0       1.3
         163.0       4.3
         165.0       1.2
         178.0       2.4
         189.0       1.4
         190.0       1.2
         202.0       1.0
         203.0       1.7
         204.0       1.4
         211.0       3.0
         211.5       1.1
         215.0       1.2
         216.0       4.2
         217.0      10.5
         218.0       4.1
         218.5       1.3
         219.0       1.8
         230.0       1.6
         231.0       1.5
         232.0       2.1
         233.0       1.2
         243.0       1.5
         244.0       5.8
         245.0      13.0
         246.0       7.3
         247.0       2.0
         258.0       1.8
         259.0       3.3
         260.0       1.8
         261.0       2.0
         271.0       2.0
         272.0       4.6
         273.0      18.5
         274.0       5.6
         275.0       3.3
         286.0       1.1
         287.0       3.6
         288.0       1.8
         289.0       1.6
         290.0       1.6
         299.0       1.8
         300.0       2.0
         301.0       3.8
         302.0       2.1
         303.0       3.4
         315.0       1.8
         316.0       2.5
         317.0       3.6
         318.0       4.3
         319.0       1.2
         329.0       2.9
         330.0       1.5
         331.0       7.5
         332.0       1.8
         342.0       1.1
         343.0       1.9
         344.0       3.1
         345.0       6.9
         346.0      39.4
         347.0       9.9
         348.0       1.7
         355.0       1.0
         370.0       5.5
         371.0       1.5
         409.0       5.6
         410.0       1.6
         411.0       1.2
         422.0      60.1
         423.0      18.2
         424.0       3.0
         435.0       1.0
         437.0     100.0
         438.0      32.2
         439.0      21.0
         440.0       5.6
         463.0       1.7
    

400 MHz in CDCl3


  • 1H NMR 399.65 MHz
    C28 H27 N3 O2 0.041 g : 0.5 ml CDCl3
    4-(4-diethylamino-2-methylphenylimino)-1-oxo-N-phenyl-1,4-dihydro-2-naphthalenecarboxamide
    ChemicalStructure
        Assign.     Shift(ppm)
    A 11.62 B 8.575 C 8.543 D 8.290 E 7.783 F 7.705 G 7.611 J 7.354 K 7.120 L 6.795 M 6.687 N 6.572 P 3.440 Q 2.476 R 1.235

         Hz     ppm     Int.
    

       4642.72  11.617    120
       3427.05   8.576    580
       3418.62   8.555    111
       3417.89   8.553    113
       3411.11   8.536    107
       3410.56   8.534    120
       3409.83   8.533    114
       3318.06   8.303    105
       3317.15   8.301    111
       3316.60   8.299     97
       3310.55   8.284    110
       3310.19   8.283    117
       3309.09   8.280    112
       3115.66   7.796    175
       3114.56   7.794    212
       3112.55   7.789     61
       3107.05   7.775    226
       3105.95   7.772    193
       3088.19   7.728     60
       3086.91   7.725     63
       3081.04   7.710    103
       3079.76   7.707    105
       3078.85   7.704     77
       3073.17   7.690     88
       3071.70   7.686     82
       3049.54   7.631     85
       3048.07   7.627     90
       3042.21   7.613     88
       3041.48   7.611    110
       3040.20   7.608     98
       3034.34   7.593     65
       3033.05   7.590     61
       2947.15   7.375    150
       2945.13   7.370     51
       2939.64   7.356    218
       2938.72   7.354    192
       2932.86   7.339     63
       2931.21   7.335    161
       2853.37   7.140     51
       2852.27   7.137     88
       2851.17   7.135     52
       2844.94   7.119    144
       2838.53   7.103     40
       2837.43   7.100     65
       2836.33   7.098     36
       2720.57   6.808    168
       2711.60   6.785    205
       2674.05   6.691    119
       2671.67   6.686    129
       2631.92   6.586     96
       2628.99   6.579     84
       2622.94   6.564     79
       2620.20   6.557     71
       1385.84   3.468    113
       1378.69   3.450    366
       1371.55   3.432    371
       1364.41   3.415    117
        989.83   2.477    799
        500.59   1.253    434
        493.63   1.236   1000
        486.49   1.218    421
    

KBr disc



nujol mull