-
MS-NW-6974 5-methyl-2-indolecarboxylic acid C10H9NO2 (Mass of molecular ion: 175)
Source Temperature: 180 °C Sample Temperature: 120 °C Direct, 75 eV
18.0 2.8 27.0 2.3 28.0 2.1 38.0 1.8 39.0 3.9 45.0 1.6 50.0 5.2 51.0 11.1 52.0 4.5 53.0 1.3 62.0 2.7 63.0 4.8 64.0 3.2 64.5 3.2 65.0 2.7 74.0 2.6 75.0 4.5 76.0 4.8 77.0 13.2 78.0 5.9 78.5 4.5 79.0 1.2 87.0 1.1 87.5 1.5 88.0 1.2 89.0 1.3 91.0 1.8 100.0 1.3 101.0 7.1 102.0 16.8 103.0 16.6 104.0 1.9 127.0 2.1 128.0 14.4 129.0 41.1 130.0 10.7 131.0 2.9 146.0 1.4 156.0 7.4 157.0 100.0 158.0 12.7 159.0 1.0 174.0 1.7 175.0 85.2 176.0 9.8 177.0 1.0
400 MHz in DMSO-d6
-
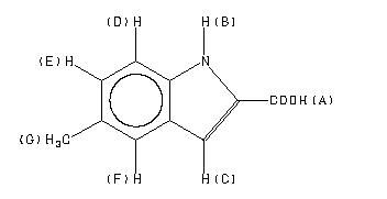
1H NMR 399.65 MHz C10 H9 N O2 0.033 g : 0.5 ml DMSO-d6 5-methyl-2-indolecarboxylic acid 
Assign. Shift(ppm)
A 13. B 11.7 C 7.410 D 7.351 E 7.079 F 7.019 G 2.367
Hz ppm Int.4658.47 11.657 130 2961.44 7.411 244 2942.39 7.363 173 2933.96 7.342 203 2833.77 7.091 155 2832.30 7.087 143 2825.34 7.070 133 2823.69 7.066 125 2806.48 7.023 233 2804.46 7.018 226 946.24 2.368 1000
更多供应商





