图谱信息 供应商 相关产品
网站主页CAS数据库列表 103-30-0更多图谱反式-1,2二苯乙烯(103-30-0)Raman光谱

反式-1,2二苯乙烯

产品名称 反式-1,2二苯乙烯

CAS号103-30-0

分子式C14H12

分子量180.25

展开


  • Mass

    MS-NW-4540          
    trans-1,2-diphenylethylene
    C14H12              (Mass of molecular ion:    180)
    

       Source Temperature: 240 °C
       Sample Temperature: 180 °C
       Reservoir, 75 eV
    

          27.0       1.0
          39.0       3.2
          50.0       2.8
          51.0       6.1
          52.0       2.0
          62.0       1.3
          63.0       4.3
          64.0       1.1
          65.0       1.3
          74.0       1.8
          75.0       2.4
          76.0      10.0
          76.5       1.3
          77.0       5.7
          78.0       2.6
          82.5       2.6
          87.0       1.0
          88.0       3.3
          89.0      14.6
          89.5       2.8
          90.0       4.3
          91.0       2.2
         102.0       7.0
         103.0       1.6
         115.0       2.6
         126.0       1.1
         127.0       1.1
         128.0       1.1
         139.0       1.8
         150.0       1.1
         151.0       3.3
         152.0       6.5
         153.0       2.1
         164.0       1.0
         165.0      31.3
         166.0       4.6
         176.0       5.3
         177.0       5.9
         178.0      43.6
         179.0      80.9
         180.0     100.0
         181.0      14.5
         182.0       1.4
         192.0       1.3
         193.0       1.0
    

90 MHz in CDCl3


  • 1H NMR 89.56 MHz
    C14 H12 0.045 g : 0.5 ml CDCl3
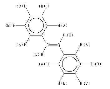
    trans-1,2-diphenylethylene
    ChemicalStructure
        Assign.     Shift(ppm)
    A 7.48 B 7.34 C 7.21 D 7.15

         Hz     ppm     Int.
    

        676.88   7.558    166
        675.13   7.539    135
        673.88   7.525    214
        672.25   7.507    134
        670.75   7.490    234
        669.25   7.473    332
        668.38   7.463    434
        666.81   7.446    622
        664.88   7.424    211
        662.88   7.402    184
        661.56   7.387    191
        660.63   7.377    206
        658.00   7.348    522
        657.19   7.338    532
        655.19   7.316    227
        653.56   7.298    299
        651.19   7.271    503
        649.75   7.255    505
        646.13   7.215    156
        644.81   7.200    115
        642.69   7.177     94
        639.94   7.146     34
        638.75   7.133     40
        634.75   7.088   1000
    

in CDCl3



KBr disc



nujol mull



4880 A,200 M,powder