图谱信息 供应商 相关产品
网站主页CAS数据库列表 103-37-7更多图谱丁酸苄酯(103-37-7)红外图谱(IR1)

丁酸苄酯

产品名称 丁酸苄酯

CAS号103-37-7

分子式C11H14O2

分子量178.23

展开


  • Mass

    MS-NW-8358          
    benzyl butyrate
    C11H14O2            (Mass of molecular ion:    178)
    

       Source Temperature: 260 °C
       Sample Temperature: 140 °C
       Reservoir, 75 eV
    

          27.0       6.1
          28.0       1.2
          29.0       1.0
          39.0       7.1
          41.0       7.5
          42.0       1.6
          43.0      32.1
          44.0       1.2
          50.0       1.6
          51.0       5.1
          52.0       1.6
          55.0       1.4
          63.0       2.8
          65.0      11.9
          71.0      31.0
          72.0       1.4
          77.0       7.2
          78.0       2.1
          79.0      11.8
          80.0       1.1
          89.0       5.4
          90.0      17.4
          91.0      88.7
          92.0       7.8
         105.0       2.4
         107.0       8.6
         108.0     100.0
         109.0       7.8
         178.0      21.7
         179.0       2.7
    

90 MHz in CDCl3


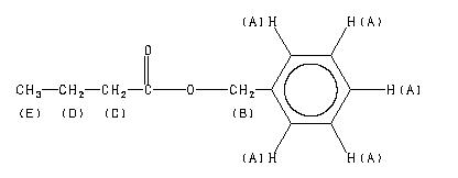
  • 1H NMR 89.56 MHz
    C11 H14 O2 0.04 ml : 0.5 ml CDCl3
    benzyl butyrate
    ChemicalStructure
        Assign.     Shift(ppm)
    A 7.50 to 7.09 B 5.105 C 2.309 D 1.66 E 0.94

         Hz     ppm     Int.
    

        656.19   7.327   1000
        457.19   5.105    491
        216.13   2.414     61
        215.13   2.403     65
        208.13   2.324    141
        201.38   2.249    118
        200.69   2.241    113
        160.94   1.798     36
        160.13   1.788     47
        154.06   1.721     36
        153.13   1.710    100
        152.13   1.699     53
        146.06   1.631     73
        145.31   1.623     66
        144.88   1.618     83
        138.19   1.543     61
         91.44   1.021     94
         90.75   1.014    185
         83.81   0.936    390
         83.19   0.929    197
         77.00   0.860     66
         76.19   0.851    107
         75.19   0.840     51
    

in CDCl3



CCl4 solution



liquid film



4880 A,200 M,liquid