-
MS-NW-2300 benzyl trans-cinnamate C16H14O2 (Mass of molecular ion: 238)
Source Temperature: 300 °C Sample Temperature: 170 °C Reservoir, 75 eV
17.0 3.2 18.0 14.9 27.0 1.9 28.0 1.4 38.0 1.2 39.0 7.0 41.0 1.9 44.0 4.1 50.0 4.9 51.0 15.0 52.0 3.1 62.0 1.3 63.0 4.8 64.0 1.2 65.0 13.2 69.0 1.0 74.0 2.0 75.0 2.2 76.0 3.4 77.0 30.3 78.0 4.9 79.0 5.3 89.0 5.3 90.0 5.8 91.0 100.0 92.0 10.0 94.0 1.8 102.0 7.8 103.0 36.4 104.0 16.6 105.0 4.2 106.0 1.8 107.0 6.0 115.0 14.3 116.0 5.1 117.0 1.6 130.0 1.3 131.0 91.4 132.0 12.8 133.0 1.1 147.0 8.6 148.0 2.8 160.0 2.5 165.0 1.6 167.0 1.4 178.0 7.4 179.0 5.5 180.0 1.0 191.0 3.0 192.0 45.7 193.0 47.2 194.0 12.5 195.0 1.6 219.0 1.4 220.0 6.0 221.0 1.2 238.0 19.3 239.0 3.4
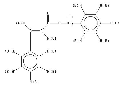
90 MHz in CDCl3
-
1H NMR 89.56 MHz C16 H14 O2 0.044 g : 0.5 ml CDCl3 benzyl trans-cinnamate 
Assign. Shift(ppm)
A 7.718 B 7.59 to 7.26 C 6.486 D 5.246
Hz ppm Int.700.31 7.820 166 684.31 7.641 219 678.25 7.574 51 675.88 7.547 59 675.13 7.539 78 674.69 7.534 81 673.38 7.519 75 671.94 7.503 103 671.13 7.494 112 669.25 7.473 123 668.06 7.460 245 665.06 7.426 184 664.63 7.422 183 661.50 7.387 885 660.50 7.375 1000 658.94 7.358 357 658.38 7.352 394 656.06 7.326 123 654.94 7.313 221 653.06 7.292 69 651.50 7.275 34 587.75 6.563 448 571.75 6.384 337 469.81 5.246 872
更多供应商







