图谱信息 供应商 相关产品
网站主页CAS数据库列表 103-83-3更多图谱N,N-二甲基苄胺(103-83-3)红外图谱(IR2)

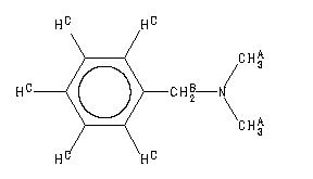
N,N-二甲基苄胺

产品名称 N,N-二甲基苄胺

CAS号103-83-3

分子式C9H13N

分子量135.21

展开


  • Mass

    MS-NW-8486          
    N,N-dimethylbenzylamine
    C9H13N              (Mass of molecular ion:    135)
    

       Source Temperature: 260 °C
       Sample Temperature: 140 °C
       Reservoir, 75 eV
    

          15.0       3.4
          18.0       1.0
          27.0       1.1
          28.0       1.6
          29.0       1.0
          30.0       4.0
          39.0       6.9
          41.0       2.8
          42.0      19.2
          43.0       2.8
          44.0      15.6
          50.0       1.8
          51.0       4.6
          52.0       1.1
          57.0       3.3
          58.0     100.0
          59.0       3.7
          62.0       1.1
          63.0       3.9
          64.0       1.1
          65.0      12.6
          77.0       2.9
          89.0       3.0
          90.0       1.3
          91.0      44.5
          92.0       7.7
         118.0       2.9
         132.0       1.3
         134.0      25.6
         135.0      37.6
         136.0       3.8
    

90 MHz in CDCl3


  • 1H NMR 89.56 MHz
    C9 H13 N 10.4 mol% in CDCl3
    N,N-dimethylbenzylamine
    ChemicalStructure
        Assign.     Shift(ppm)
    A 2.218 B 3.397 C 7.22 to 7.36

         Hz     ppm     Int.
    

        654.44   7.308     73
        653.69   7.299     85
        651.69   7.277    524
        649.25   7.250    100
        646.88   7.223     31
        304.25   3.398    264
        201.13   2.246     38
        198.75   2.220   1000
    

in CDCl3



CCl4 solution



liquid film



4880 A,200 M,liquid