图谱信息 供应商 相关产品
网站主页CAS数据库列表 104-15-4更多图谱对甲苯磺酸(104-15-4)红外图谱(IR1)

对甲苯磺酸

产品名称 对甲苯磺酸

CAS号104-15-4

分子式C7H8O3S

分子量172.2

展开



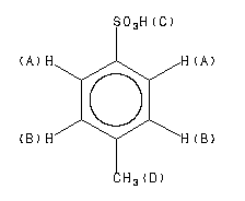
  •     Assign.     Shift(ppm)
    A 7.530 B 7.170 C 6.57 D 2.302
    Spectral Code: 1H NMR : 400 MHz in DMSO-d6



  •        ppm   Int.  Assign.
    144.20 166 1 138.49 213 2 128.25 1000 3 125.45 962 4 20.69 437 5
    Spectral Code: 13C NMR : in DMSO-d6


  • Spectral Code: IR : nujol mull