图谱信息 供应商 相关产品
网站主页CAS数据库列表 104-83-6更多图谱4-氯氯苄(104-83-6)质谱(MS)

4-氯氯苄

产品名称 4-氯氯苄

CAS号104-83-6

分子式C7H6Cl2

分子量161.03

展开


  • Mass

    MS-NW-4806          
    alpha,4-dichlorotoluene
    C7H6Cl2             (Mass of molecular ion:    160)
    

       Source Temperature: 260 °C
       Sample Temperature: 180 °C
       Reservoir, 75 eV
    

          36.0       1.1
          37.0       1.0
          38.0       1.6
          39.0       4.3
          43.0       1.6
          44.0       3.4
          44.5       1.4
          50.0       2.7
          51.0       2.4
          61.0       1.5
          62.0       6.1
          63.0       7.9
          64.0       1.5
          73.0       2.4
          75.0       1.5
          89.0      13.8
          90.0       4.6
          99.0       4.4
         101.0       1.4
         123.0       1.0
         125.0     100.0
         126.0       7.9
         127.0      31.6
         128.0       2.6
         159.0       1.7
         160.0      19.3
         161.0       2.7
         162.0      12.5
         163.0       1.1
         164.0       2.1
    

parameter in CDCl3


  • 1H NMR 300 MHz
    C7 H6 Cl2 0.040 g : 0.5 ml CDCl3
    alpha,4-dichlorotoluene
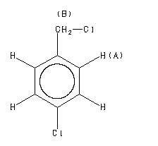
    ChemicalStructure
        Parameter     ppm  Hz
    D(A) 7.316 D(B) 4.539

         Hz     ppm     Int.
    

       2194.81   7.316   1000
       1361.69   4.539    500
    

in CDCl3



KBr disc



liquid film



4880 A,150M,powder