图谱信息 供应商 相关产品
网站主页CAS数据库列表 104484-71-1更多图谱N-(1-萘)-3-氨基丙磺酸钠盐(104484-71-1)红外图谱(IR1)

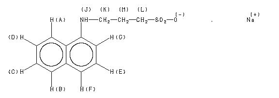
N-(1-萘)-3-氨基丙磺酸钠盐

产品名称 N-(1-萘)-3-氨基丙磺酸钠盐

CAS号104484-71-1

分子式C13H14NNaO3S

分子量287.31

展开

400 MHz in DMSO-d6

90 MHz in DMSO-d6


  • 1H NMR 399.65 MHz
    C13 H14 N Na O3 S 0.035 g : 0.5 ml DMSO-d6
    sodium 3-(1-naphthylamino)-1-propanesulfonate
    ChemicalStructure
        Assign.     Shift(ppm)
    A 8.172 B 7.733 C *1 7.415 D *1 7.374 E 7.269 F 7.072 G 6.493 J 6.38 K 3.286 L 2.655 M 2.035

         Hz     ppm     Int.
    

       3270.51   8.184    428
       3266.60   8.174     66
       3266.36   8.174     66
       3265.75   8.172     64
       3265.26   8.171     73
       3264.89   8.170     85
       3262.21   8.163    462
       3095.46   7.746    425
       3093.99   7.742    495
       3091.67   7.736     72
       3090.82   7.734     66
       3090.09   7.732     68
       3085.94   7.722    506
       2972.29   7.438    225
       2971.07   7.435    267
       2969.60   7.431     73
       2968.75   7.429     63
       2968.14   7.427     68
       2965.58   7.421    470
       2964.36   7.418    538
       2963.01   7.415    279
       2960.94   7.409     75
       2960.57   7.408     74
       2959.84   7.407     75
       2957.76   7.401    460
       2956.18   7.397    432
       2953.86   7.392    416
       2952.27   7.388    447
       2949.71   7.381     76
       2948.85   7.379     79
       2947.02   7.375    255
       2945.43   7.371    494
       2944.09   7.367    420
       2940.92   7.359     55
       2938.72   7.354    220
       2937.26   7.350    201
       2913.57   7.291    393
       2909.67   7.281     56
       2909.06   7.280     63
       2905.64   7.271    792
       2902.59   7.263     66
       2902.22   7.262     56
       2901.73   7.261     57
       2900.88   7.259     53
       2900.51   7.258     55
       2897.83   7.251    510
       2833.01   7.089     64
       2829.96   7.082    649
       2826.17   7.072     64
       2825.44   7.070     62
       2821.90   7.061    538
       2602.66   6.513     53
       2602.29   6.512     58
       2598.88   6.503    574
       2598.51   6.502    570
       2595.34   6.495     73
       2595.09   6.494     73
       2594.48   6.492     73
       2591.43   6.485    552
       2591.06   6.484    555
       2560.42   6.407     55
       2559.69   6.405     68
       2556.88   6.398    217
       2556.52   6.397    221
       2551.51   6.385    421
       2548.46   6.377    147
       2546.39   6.372    216
       2546.02   6.371    218
       2543.70   6.365     73
       1322.88   3.311    275
       1316.16   3.294    624
       1310.67   3.280    626
       1307.01   3.271    170
       1306.40   3.269    149
       1303.83   3.263    284
       1301.03   3.256     68
       1300.66   3.255     55
       1073.61   2.687     64
       1073.36   2.686     64
       1071.90   2.683     92
       1068.60   2.674    671
       1065.31   2.666    140
       1061.52   2.657   1000
       1053.96   2.638    726
        829.22   2.075     73
        827.27   2.070    180
        824.34   2.063     98
        823.97   2.062     98
        823.61   2.061    108
        820.31   2.053    515
        816.65   2.044    163
        812.99   2.035    676
        809.33   2.026    147
        805.79   2.017    477
        802.25   2.008     76
        801.76   2.007     63
        801.03   2.005     69
        798.83   1.999    142
    


  • 1H NMR 89.56 MHz
    C13 H14 N Na O3 S 0.036 g : 0.5 ml DMSO-d6
    sodium 3-(1-naphthylamino)-1-propanesulfonate
    ChemicalStructure
        Assign.     Shift(ppm)
    A 8.17 B 7.723 C 7.58 to 7.24 D 7.28 E 7.08 F 6.50 G 6.36 J 3.29 K 2.66 L 2.04 SIGNAL J OVERLAPPED BY H2O.

         Hz     ppm     Int.
    

        736.50   8.224    250
        734.69   8.204    188
        734.38   8.200    169
        731.44   8.168    246
        731.13   8.164    251
        729.81   8.149    205
        729.44   8.145    197
        726.88   8.117    282
        697.50   7.789    241
        694.63   7.757    186
        694.25   7.752    189
        693.06   7.739    287
        689.63   7.701    273
        687.94   7.682    404
        671.00   7.493    172
        666.44   7.442    661
        665.69   7.433    600
        664.19   7.417    430
        663.19   7.405    235
        661.44   7.386    537
        659.31   7.362    413
        659.00   7.359    409
        658.19   7.350    429
        656.75   7.334    458
        655.94   7.325    387
        654.63   7.310    139
        654.25   7.306    140
        651.63   7.276    558
        644.13   7.193    520
        636.19   7.104    562
        628.63   7.020    248
        585.38   6.537    429
        578.00   6.454    403
        577.13   6.445    373
        575.19   6.423    195
        574.06   6.410    169
        573.50   6.404    160
        569.50   6.359    307
        567.38   6.336    152
        565.38   6.313    147
        565.00   6.309    151
        564.56   6.304    159
        564.19   6.300    168
        302.63   3.380   1000
        299.19   3.341    513
        297.81   3.326    601
        297.50   3.322    597
        295.06   3.295    287
        294.50   3.289    280
        292.13   3.262    556
        287.44   3.210    185
        286.94   3.204    202
        286.06   3.195    241
        285.44   3.188    259
        285.31   3.186    259
        245.69   2.744    313
        238.63   2.665    783
        235.06   2.625    154
        233.88   2.612    158
        233.38   2.606    186
        231.25   2.583    607
        196.56   2.195    145
        195.88   2.188    149
        195.56   2.184    152
        195.00   2.178    138
        188.88   2.109    412
        186.56   2.084    191
        185.88   2.076    149
        185.13   2.068    157
        181.88   2.031    512
        177.75   1.985    143
        175.31   1.958    295
        174.94   1.954    297
        174.50   1.949    302
    

KBr disc



nujol mull