图谱信息 供应商 相关产品
网站主页CAS数据库列表 1045-69-8更多图谱醋酸睾酮(1045-69-8)红外图谱(IR1)

醋酸睾酮

产品名称 醋酸睾酮

CAS号1045-69-8

分子式C21H30O3

分子量330.46

展开


  • Mass

    MS-NW-7361          
    3-oxo-4-androsten-17beta-yl acetate
    C21H30O3            (Mass of molecular ion:    330)
    

       Source Temperature: 190 °C
       Sample Temperature: 170 °C
       Direct, 75 eV
    

          15.0       1.1
          27.0       2.8
          29.0       4.5
          39.0       6.0
          40.0       1.1
          41.0      19.1
          42.0       1.0
          43.0      71.6
          44.0       1.9
          45.0       1.4
          51.0       2.1
          52.0       1.4
          53.0       9.3
          54.0       1.3
          55.0      20.3
          56.0       1.1
          57.0       2.6
          60.0       1.2
          65.0       6.1
          66.0       2.6
          67.0      16.0
          68.0       1.9
          69.0       4.8
          71.0       1.5
          77.0      19.4
          78.0       4.6
          79.0      28.2
          80.0       4.8
          81.0      17.5
          82.0       2.3
          83.0       4.3
          91.0      34.5
          92.0       6.6
          93.0      26.3
          94.0      11.4
          95.0      20.5
          96.0       4.2
          97.0       6.9
         103.0       3.4
         104.0       3.1
         105.0      28.8
         106.0       8.0
         107.0      22.8
         108.0       7.7
         109.0      17.2
         110.0       5.7
         111.0       6.3
         115.0       5.0
         116.0       2.4
         117.0       9.4
         118.0       4.3
         119.0      19.8
         120.0       8.0
         121.0      15.4
         122.0      11.7
         123.0      25.4
         124.0     100.0
         125.0      11.5
         127.0       1.1
         128.0       3.6
         129.0       5.6
         130.0       2.5
         131.0      18.2
         132.0       8.1
         133.0      25.5
         134.0      18.9
         135.0      10.8
         136.0       7.1
         137.0      10.3
         138.0       3.5
         141.0       2.1
         142.0       2.0
         143.0       5.7
         144.0       7.3
         145.0      15.0
         146.0      30.4
         147.0      88.4
         148.0      21.9
         149.0      12.0
         150.0       2.4
         151.0       2.4
         153.0       1.0
         155.0       1.9
         156.0       1.3
         157.0       5.6
         158.0       4.2
         159.0      10.9
         160.0       6.5
         161.0       9.0
         162.0       5.8
         163.0       4.2
         164.0       1.7
         165.0       6.9
         166.0       1.4
         169.0       1.7
         170.0       1.3
         171.0       5.0
         172.0       4.7
         173.0       6.0
         174.0       5.4
         175.0       4.3
         176.0       3.0
         177.0       2.5
         181.0       1.2
         183.0       2.0
         184.0       1.2
         185.0      20.7
         186.0       6.0
         187.0       7.2
         188.0       3.3
         189.0       2.9
         190.0       1.1
         195.0       1.2
         197.0       2.2
         198.0       1.1
         199.0       6.0
         200.0       4.2
         201.0       3.5
         202.0       1.8
         203.0       3.5
         204.0       1.0
         206.0       2.2
         207.0       1.7
         209.0       1.2
         211.0       2.6
         212.0       1.2
         213.0      15.2
         214.0       4.3
         215.0       2.8
         216.0       1.1
         217.0       1.0
         225.0       1.1
         226.0       2.0
         227.0       6.9
         228.0      50.5
         229.0      12.2
         230.0       9.1
         231.0       3.4
         232.0       1.8
         237.0       2.7
         241.0       1.7
         242.0       3.1
         243.0       1.9
         244.0       1.4
         245.0      17.5
         246.0      13.7
         247.0       2.8
         248.0       1.0
         251.0       1.1
         252.0       4.1
         253.0       2.8
         255.0       9.2
         256.0       2.1
         259.0       1.0
         260.0       1.5
         268.0       1.4
         269.0       2.1
         270.0      20.9
         271.0       6.6
         272.0       1.4
         273.0       5.0
         274.0       1.7
         286.0       1.3
         287.0       3.1
         288.0      53.6
         289.0      11.0
         290.0       1.4
         302.0       2.7
         312.0       1.4
         315.0       2.9
         330.0      64.1
         331.0      16.1
         332.0       2.6
    

400 MHz in CDCl3


  • 1H NMR 399.65 MHz
    C21 H30 O3 0.055 g : 0.5 ml CDCl3
    3-oxo-4-androsten-17beta-yl acetate
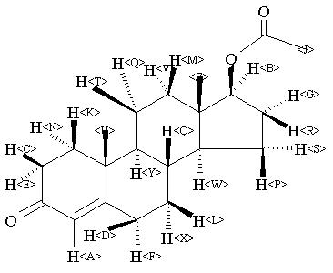
    ChemicalStructure
        Assign.     Shift(ppm)
    A 5.729 B 4.601 C 2.409 D 2.39 E 2.35 F 2.288 G 2.182 J 2.046 K 2.04 L 1.85 M 1.795 N 1.70 P 1.66 Q 1.63 to 1.550 R 1.52 S 1.41 T 1.363 U 1.196 V 1.19 W 1.07 X 1.04 Y 0.953 Z 0.841 ASSIGNED BY H-H COSY. J(B,G)=9.2HZ J(B,R)=7.9HZ J(C,E)=-16.8HZ J(C,K)=5.2HZ J(C,N)=16.8HZ J(E,K)=3.3HZ J(E,N)=5.1HZ J(F,D)=-14.6HZ J(F,L)=2.3HZ J(F,X)=4.3HZ J(G,P)=6.0HZ J(G,R)=-13.8HZ J(G,S)=9.5HZ J(K,N)=-13.4HZ J(L,X)=-12.9HZ J(M,V)=-12.8HZ J(T,M)=6.8HZ J(T,V)=12.8HZ

         Hz     ppm     Int.
    

       2290.41   5.732    113
       2289.31   5.729    114
       1847.29   4.623     57
       1839.36   4.603     72
       1838.13   4.600     71
       1830.20   4.580     58
        969.48   2.426     56
        964.48   2.414     50
        961.91   2.407     32
        960.21   2.403     30
        955.20   2.391     79
        950.20   2.378     54
        948.12   2.373     36
        946.29   2.368     55
        942.75   2.359     65
        941.53   2.356     63
        941.04   2.355     64
        938.23   2.348     43
        922.85   2.310     38
        920.41   2.304     49
        918.58   2.299     45
        916.02   2.293     39
        882.32   2.208     30
        876.22   2.193     31
        868.65   2.174     33
        862.55   2.159     33
        822.14   2.058     39
        817.63   2.046   1000
        814.09   2.038     50
        808.84   2.024     39
        805.66   2.016     43
        803.96   2.012     39
        800.66   2.004     30
        734.86   1.839     30
        723.63   1.811     37
        711.18   1.780     41
        684.08   1.712     50
        679.20   1.700     43
        671.26   1.680     39
        668.70   1.674     30
        664.55   1.663     40
        661.62   1.656     30
        644.78   1.614     41
        641.48   1.606     47
        633.54   1.586     49
        630.62   1.578     48
        626.95   1.569     52
        623.78   1.561     53
        619.38   1.550     44
        615.48   1.541     31
        572.75   1.434     32
        568.73   1.424     30
        560.06   1.402     33
        556.40   1.393     39
        551.03   1.379     43
        544.80   1.364     44
        538.94   1.349     39
        532.59   1.333     36
        485.23   1.215     31
        478.15   1.197    618
        472.41   1.183     47
        438.60   1.098     30
        431.40   1.080     46
        427.73   1.071     34
        426.39   1.067     35
        422.24   1.057     34
        419.31   1.050     53
        408.45   1.023     34
        393.19   0.984     38
        382.32   0.957     31
        381.10   0.954     34
        378.17   0.947     33
        336.30   0.842    629
    

in CDCl3



KBr disc



nujol mull