-
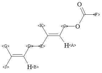
MS-IW-1350 trans-3,7-dimethyl-2,6-octadienyl acetate C12H20O2 (Mass of molecular ion: 196)
Source Temperature: 220 °C Sample Temperature: 160 °C Reservoir, 75 eV
27.0 4.1 29.0 3.9 39.0 6.8 40.0 1.9 41.0 54.3 42.0 3.7 43.0 47.7 44.0 1.5 45.0 1.9 51.0 1.4 53.0 6.7 54.0 1.2 55.0 13.7 56.0 3.3 57.0 3.2 60.0 1.9 61.0 1.3 65.0 2.5 67.0 28.9 68.0 44.2 69.0 100.0 70.0 7.4 71.0 1.7 77.0 5.3 78.0 1.0 79.0 8.4 80.0 15.7 81.0 29.1 82.0 14.8 83.0 4.1 84.0 3.0 85.0 6.4 86.0 1.2 91.0 8.3 92.0 7.3 93.0 35.8 94.0 8.4 95.0 19.3 96.0 4.1 97.0 1.0 105.0 6.4 106.0 1.5 107.0 6.4 108.0 2.2 109.0 7.2 110.0 1.8 119.0 3.9 120.0 1.0 121.0 15.3 122.0 1.9 123.0 13.0 124.0 1.4 127.0 1.2 133.0 1.8 134.0 1.6 135.0 1.0 136.0 12.2 137.0 2.3 138.0 8.2 139.0 1.3 147.0 1.4 154.0 1.3 161.0 5.4 162.0 1.0 189.0 1.4 204.0 2.0
400 MHz in CDCl3
-
1H NMR 399.65 MHz C12 H20 O2 0.05 ml : 0.5 ml CDCl3 trans-3,7-dimethyl-2,6-octadienyl acetate 
Assign. Shift(ppm)
A 5.346 B 5.086 C 4.588 D 2.10 E 2.05 F 2.047 G 1.705 J 1.681 K 1.601
Hz ppm Int.2144.41 5.366 41 2143.19 5.363 43 2142.09 5.360 31 2137.21 5.348 81 2135.99 5.345 84 2135.01 5.343 56 2130.13 5.330 44 2128.91 5.327 45 2038.94 5.102 38 2037.60 5.099 37 2033.45 5.089 62 2032.10 5.085 75 2030.76 5.082 63 2026.61 5.071 34 2025.39 5.068 40 2024.05 5.065 33 1837.28 4.598 226 1830.08 4.580 214 845.58 2.116 70 844.73 2.114 69 838.62 2.099 114 832.03 2.082 89 824.34 2.063 182 818.36 2.048 1000 811.16 2.030 53 682.01 1.707 520 681.27 1.705 530 672.24 1.683 456 671.51 1.681 469 639.89 1.602 511
更多供应商





