-
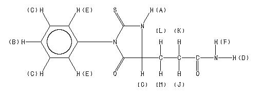
MS-NW-2059 5-(2-carbamoylethyl)-3-phenyl-2-thioxo-4-imidazolidone C12H13N3O2S (Mass of molecular ion: 263)
Source Temperature: 200 °C Sample Temperature: 240 °C Direct, 75 eV
14.0 1.8 15.0 1.8 16.0 3.4 17.0 5.4 18.0 25.0 26.0 8.2 27.0 18.2 28.0 21.4 29.0 1.9 30.0 2.0 32.0 7.9 33.0 3.4 34.0 10.2 37.0 3.4 38.0 7.3 39.0 19.9 40.0 6.8 41.0 21.4 42.0 6.9 43.0 7.6 44.0 15.7 45.0 3.6 50.0 10.8 51.0 34.4 52.0 10.2 53.0 7.9 54.0 14.0 55.0 14.9 56.0 8.0 57.0 1.8 58.0 2.9 59.0 39.4 60.0 2.9 61.0 1.4 62.0 1.9 63.0 6.5 64.0 9.7 65.0 9.7 66.0 7.7 67.0 2.9 68.0 3.0 69.0 1.9 70.0 8.2 71.0 2.4 72.0 3.7 73.0 4.4 74.0 2.6 75.0 3.4 76.0 9.4 77.0 100.0 78.0 11.1 79.0 1.4 80.0 3.4 81.0 4.0 82.0 4.1 83.0 6.9 84.0 8.0 85.0 6.9 86.0 14.1 87.0 1.5 88.0 1.5 89.0 1.6 90.0 3.5 91.0 13.5 92.0 8.3 93.0 34.8 94.0 5.5 95.0 3.6 96.0 1.4 97.0 1.7 98.0 5.8 99.0 6.1 100.0 2.3 101.0 1.2 102.0 1.0 103.0 17.7 104.0 45.0 105.0 9.7 106.0 2.6 108.0 9.6 109.0 13.0 110.0 2.4 111.0 13.8 112.0 4.2 116.0 1.1 117.0 7.3 118.0 7.4 119.0 14.3 120.0 13.4 121.0 1.4 123.0 1.0 124.0 1.4 125.0 2.2 126.0 4.6 127.0 1.9 128.0 2.0 129.0 1.3 130.0 4.0 131.0 2.7 132.0 2.5 133.0 2.1 134.0 1.7 135.0 72.9 136.0 33.2 137.0 6.1 138.0 1.7 142.0 1.7 143.0 2.1 144.0 2.5 145.0 4.9 146.0 6.6 147.0 1.8 149.0 1.1 150.0 1.4 151.0 2.5 156.0 1.3 157.0 2.5 158.0 2.5 159.0 2.2 160.0 4.2 161.0 1.4 162.0 1.1 163.0 1.5 168.0 1.5 170.0 1.7 171.0 1.4 172.0 7.5 173.0 3.0 174.0 1.7 175.0 3.3 176.0 1.3 184.0 2.4 185.0 3.1 186.0 6.7 187.0 5.0 188.0 2.2 189.0 5.5 190.0 1.2 191.0 2.7 192.0 7.6 193.0 1.1 201.0 1.2 202.0 2.5 203.0 24.2 204.0 49.9 205.0 25.1 206.0 5.2 207.0 1.3 211.0 2.4 212.0 3.2 213.0 3.6 214.0 6.5 215.0 1.4 216.0 6.4 217.0 8.6 218.0 21.0 219.0 3.7 220.0 1.7 229.0 3.1 230.0 1.1 231.0 2.5 242.0 1.4 243.0 6.6 244.0 16.3 245.0 33.0 246.0 59.4 247.0 9.8 248.0 3.5 261.0 4.5 263.0 51.2 264.0 7.8 265.0 3.0
400 MHz in DMSO-d6
-
1H NMR 399.65 MHz C12 H13 N3 O2 S 0.035 g : 0.5 ml DMSO-d6 5-(2-carbamoylethyl)-3-phenyl-2-thioxo-4-imidazolidone 
Assign. Shift(ppm)
A 10.6 B 7.485 C 7.44 D *1 7.40 E 7.296 F *1 6.88 G 4.464 J *2 2.27 K *2 2.24 L *3 2.05 M *3 1.97
Hz ppm Int.4228.95 10.582 472 3001.37 7.510 167 2999.90 7.507 306 2998.25 7.503 159 2992.94 7.489 812 2991.29 7.485 475 2986.90 7.474 308 2985.43 7.471 763 2978.47 7.453 227 2977.01 7.450 452 2975.72 7.446 320 2972.43 7.438 155 2969.86 7.432 457 2966.93 7.424 124 2963.82 7.417 125 2962.53 7.413 188 2961.25 7.410 156 2956.31 7.398 245 2920.96 7.309 660 2919.49 7.306 1000 2917.29 7.300 242 2914.18 7.292 386 2912.53 7.288 735 2911.25 7.285 601 2908.68 7.279 93 2750.79 6.883 240 1791.00 4.482 173 1785.51 4.468 362 1779.83 4.454 171 1778.91 4.452 180 919.50 2.301 36 911.44 2.281 175 908.32 2.273 179 901.91 2.257 372 899.90 2.252 276 895.13 2.240 262 893.30 2.236 279 884.69 2.214 46 837.07 2.095 53 831.58 2.081 62 829.01 2.075 85 823.33 2.061 159 816.01 2.042 149 814.91 2.040 148 809.23 2.025 130 802.82 2.009 115 796.59 1.994 166 794.03 1.987 112 789.81 1.977 146 787.43 1.971 151 782.49 1.958 110 780.84 1.954 118 775.71 1.941 62 773.70 1.936 69 766.92 1.919 31
更多供应商




