-
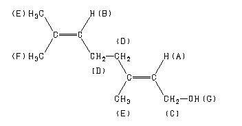
MS-NW-0577 geraniol C10H18O (Mass of molecular ion: 154)
Source Temperature: 280 °C Sample Temperature: 170 °C Reservoir, 75 eV
18.0 5.2 27.0 8.6 28.0 1.5 29.0 9.2 31.0 1.7 39.0 11.0 40.0 2.5 41.0 67.9 42.0 3.7 43.0 5.6 51.0 2.1 52.0 1.0 53.0 7.9 54.0 1.1 55.0 8.0 56.0 2.1 57.0 3.3 59.0 2.5 65.0 1.9 67.0 10.0 68.0 19.3 69.0 100.0 70.0 7.5 71.0 5.6 77.0 5.0 79.0 6.5 80.0 7.7 81.0 6.4 82.0 2.3 83.0 2.5 84.0 6.3 85.0 1.7 91.0 5.4 92.0 5.8 93.0 30.3 94.0 4.6 95.0 2.7 96.0 2.3 97.0 1.3 105.0 3.0 107.0 2.8 109.0 1.3 110.0 1.0 111.0 4.8 119.0 1.5 121.0 7.1 123.0 8.1 136.0 4.6 139.0 1.4 154.0 1.6 161.0 2.0
90 MHz in CDCl3
400 MHz in CDCl3
-
1H NMR 89.56 MHz C10 H18 O 0.04 ml : 0.5 ml CDCl3 geraniol 
Assign. Shift(ppm)
A 5.41 B 5.09 C 4.144 D 2.23 to 1.95 E 1.68 F 1.61 G 1.57
Hz ppm Int.492.44 5.499 31 491.06 5.484 34 485.38 5.420 69 484.44 5.410 68 484.00 5.405 67 478.69 5.345 41 477.31 5.330 43 461.81 5.157 30 460.25 5.140 33 459.44 5.130 38 459.31 5.129 38 457.94 5.114 57 456.50 5.098 71 455.06 5.082 64 453.63 5.066 43 451.69 5.044 30 449.94 5.024 34 374.69 4.184 226 374.13 4.178 230 367.75 4.107 201 367.31 4.102 203 192.69 2.152 34 191.38 2.137 40 183.38 2.048 441 150.69 1.683 1000 150.19 1.677 961 149.38 1.668 820 144.19 1.610 537 143.25 1.600 539 140.38 1.568 194
-
1H NMR 399.65 MHz C10 H18 O 0.05 ml : 0.5 ml CDCl3 geraniol 
Assign. Shift(ppm)
A 5.404 B 5.097 C 4.134 D 2.16 E 2.101 F 2.031 G 1.683 J 1.669 K 1.603 ASSINED BY H-H COSY.
Hz ppm Int.2168.58 5.427 58 2167.36 5.424 91 2166.14 5.421 92 2164.79 5.417 64 2161.74 5.410 107 2160.52 5.407 171 2159.18 5.403 168 2157.84 5.400 99 2156.49 5.396 46 2154.91 5.392 58 2153.56 5.389 87 2152.34 5.386 85 2151.00 5.383 48 2045.29 5.118 65 2043.82 5.115 80 2042.60 5.111 72 2041.02 5.108 63 2039.92 5.105 79 2038.57 5.101 125 2037.23 5.098 146 2035.77 5.094 115 2034.42 5.091 69 2033.08 5.088 54 2031.62 5.084 70 2030.27 5.081 80 2028.81 5.077 60 2027.47 5.074 30 1656.01 4.144 418 1655.40 4.143 400 1649.17 4.127 388 1648.56 4.126 374 864.38 2.163 124 851.81 2.132 74 851.07 2.130 71 849.85 2.127 64 844.97 2.115 158 844.12 2.113 150 841.55 2.106 124 838.01 2.097 191 837.16 2.095 191 836.06 2.092 179 829.96 2.077 140 816.77 2.044 249 811.28 2.030 161 808.72 2.024 198 801.88 2.007 84 672.73 1.684 997 671.75 1.681 926 667.60 1.671 1000 656.13 1.642 33 655.27 1.640 34 641.24 1.605 941
更多供应商







