图谱信息 供应商 相关产品
网站主页CAS数据库列表 106-40-1更多图谱4-溴苯胺(106-40-1)红外图谱(IR2)

4-溴苯胺

产品名称 4-溴苯胺

CAS号106-40-1

分子式C6H6BrN

分子量172.02

展开


  • Mass

    MS-NW-8784          
    p-bromoaniline
    C6H6BrN             (Mass of molecular ion:    171)
    

       Source Temperature: 270 °C
       Sample Temperature: 150 °C
       Reservoir, 75 eV
    

          18.0       4.8
          28.0       2.7
          31.0       1.5
          37.0       2.4
          38.0       5.0
          39.0      11.7
          40.0       1.6
          41.0       4.7
          42.0       1.3
          44.5       1.9
          45.5      13.5
          46.0       2.4
          50.0       3.3
          51.0       1.8
          52.0       4.2
          61.0       2.4
          62.0       4.4
          63.0       9.2
          64.0       6.5
          65.0      59.2
          66.0       6.1
          74.0       1.7
          75.0       1.5
          85.5       6.6
          86.5       6.4
          90.0       2.1
          91.0       6.9
          92.0      62.6
          93.0       4.5
         117.0       1.2
         119.0       1.2
         143.0       2.0
         145.0       2.0
         171.0     100.0
         172.0       7.8
         173.0      97.1
         174.0       6.8
    

90 MHz in CDCl3

parameter in acetone


  • 1H NMR 89.56 MHz
    C6 H6 Br N 0.048 g : 0.5 ml CDCl3
    p-bromoaniline
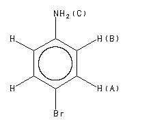
    ChemicalStructure
        Assign.     Shift(ppm)
    A 7.214 B 6.542 C 3.35

         Hz     ppm     Int.
    

        654.13   7.304     61
        651.06   7.270    764
        650.44   7.263    220
        648.88   7.246    260
        644.44   7.196    250
        642.19   7.171   1000
        639.19   7.138    100
        592.75   6.619    100
        589.75   6.585    984
        589.19   6.579    278
        587.50   6.560    240
        583.06   6.511    214
        580.88   6.486    734
        577.81   6.452     63
        305.06   3.407     31
        299.81   3.348    367
        295.81   3.303     65
        294.25   3.286     38
        293.44   3.277     31
    


  • 1H NMR 300 MHz
    C6 H6 Br N 13 mol% in acetone
    p-bromoaniline
    ChemicalStructure
        Parameter     ppm  Hz
    D(A) 7.15 D(B) 6.61 J(A,A') 2.7 J(A,B) 8.5 J(A,B') 0.3 J(A',B) 0.3 J(A',B') 8.5 J(B,B') 2.5 D(C) 4.30 DISCHLER,B. Z.NATURFORSCH. 20A, 888 (1965)

         Hz     ppm     Int.
    

       2152.56   7.175     33
       2149.46   7.165    317
       2147.39   7.158    107
       2142.87   7.143    113
       2140.77   7.136    355
       2137.70   7.126     39
       1990.32   6.634     39
       1987.24   6.624    358
       1985.15   6.617    113
       1980.63   6.602    107
       1978.56   6.595    319
       1975.46   6.585     33
       1289.99   4.300   1000
    

in CDCl3



KBr disc



nujol mull



4880 A,200 M,powder