图谱信息 供应商 相关产品
网站主页CAS数据库列表 106943-83-3更多图谱4-正戊氧基邻苯二甲腈(106943-83-3)质谱(MS)

4-正戊氧基邻苯二甲腈

产品名称 4-正戊氧基邻苯二甲腈

CAS号106943-83-3

分子式C13H14N2O

分子量214.26

展开


  • Mass

    MS-NW-9717          
    4-(pentyloxy)phthalonitrile
    C13H14N2O           (Mass of molecular ion:    214)
    

       Source Temperature: 150 °C
       Sample Temperature: 100 °C
       Direct, 75 eV
    

          18.0       2.1
          27.0      11.8
          28.0       2.4
          29.0      18.8
          39.0       6.9
          40.0       1.4
          41.0      25.9
          42.0      13.4
          43.0     100.0
          44.0       4.6
          53.0       1.2
          55.0      17.2
          62.0       1.1
          63.0       1.3
          64.0       1.9
          69.0       1.9
          70.0      41.7
          71.0      44.8
          72.0       2.4
          75.0       1.1
          76.0       1.6
          88.0       1.1
          89.0       1.5
         100.0       4.1
         101.0       1.0
         115.0       1.3
         116.0       3.4
         127.0       6.7
         128.0       1.0
         129.0       1.5
         144.0      13.9
         145.0      22.6
         146.0       2.1
         157.0       2.9
         214.0      30.0
         215.0      11.0
         216.0       1.4
    

400 MHz in CDCl3


  • 1H NMR 399.65 MHz
    C13 H14 N2 O 0.036 g : 0.5 ml CDCl3
    4-(pentyloxy)phthalonitrile
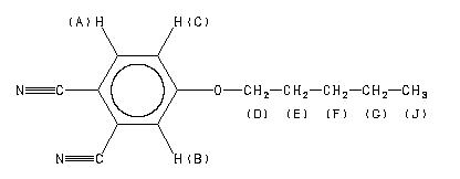
    ChemicalStructure
        Assign.     Shift(ppm)
    A 7.716 B 7.268 C 7.199 D 4.059 E 1.836 F 1.44 G 1.40 J 0.944

         Hz     ppm     Int.
    

       3088.26   7.728    482
       3079.59   7.706    535
       2906.01   7.272    426
       2903.44   7.265    503
       2882.57   7.213    312
       2879.88   7.207    250
       2873.78   7.191    282
       2871.22   7.185    236
       1629.03   4.077    380
       1622.56   4.060    782
       1615.97   4.044    394
        748.41   1.873     58
        741.82   1.857    184
        735.23   1.840    225
        733.52   1.836    198
        726.93   1.819    215
        720.46   1.803     85
        596.31   1.493     34
        594.60   1.488     37
        588.75   1.474     98
        585.45   1.465    116
        581.30   1.455    146
        579.96   1.452    147
        578.49   1.448    114
        577.03   1.444    131
        575.07   1.439    144
        573.36   1.435    216
        570.56   1.428    199
        567.87   1.421    233
        563.48   1.410    102
        560.91   1.404    192
        554.57   1.388    135
        553.34   1.385    144
        549.07   1.374     42
        547.36   1.370     66
        546.51   1.368     63
        545.29   1.365     69
        384.03   0.961    544
        376.83   0.943   1000
        369.75   0.926    376
    

in CDCl3



KBr disc



nujol mull