图谱信息 供应商 相关产品
网站主页CAS数据库列表 107-86-8更多图谱3-甲基-2-丁烯醛(107-86-8)核磁图(1HNMR)

3-甲基-2-丁烯醛

产品名称 3-甲基-2-丁烯醛

CAS号107-86-8

分子式C5H8O

分子量84.12

展开


  • Mass

    MS-IW-9111          
    3-methyl-2-butenal
    C5H8O               (Mass of molecular ion:     84)
    

       Source Temperature: 200 °C
       Sample Temperature: 150 °C
       Reservoir, 75 eV
    

          15.0       1.1
          26.0       2.7
          27.0      20.8
          28.0       7.7
          29.0      30.3
          37.0       2.5
          38.0       4.9
          39.0      34.7
          40.0       5.8
          41.0      39.4
          42.0       2.9
          43.0       4.1
          44.0       4.4
          49.0       1.2
          50.0       4.9
          51.0       5.2
          52.0       1.5
          53.0      11.6
          54.0       2.8
          55.0      69.0
          56.0       6.5
          57.0       2.5
          65.0       2.1
          66.0       1.0
          67.0       1.5
          69.0       5.9
          82.0       1.7
          83.0      48.5
          84.0     100.0
          85.0       7.8
         100.0       1.4
    

400 MHz in CDCl3


  • 1H NMR 399.65 MHz
    C5 H8 O 0.05 ml : 0.5 ml CDCl3
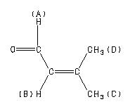
    3-methyl-2-butenal
    ChemicalStructure
        Assign.     Shift(ppm)
    A 9.963 B 5.879 C 2.187 D 1.992

         Hz     ppm     Int.
    

       3985.75   9.974    488
       3977.66   9.953    463
       2356.26   5.896     91
       2354.74   5.893    184
       2353.67   5.890    233
       2352.29   5.886    182
       2350.92   5.883     77
       2347.87   5.875     79
       2346.80   5.873    186
       2345.28   5.869    223
       2344.21   5.866    170
       2342.83   5.863     79
        874.48   2.189    998
        873.11   2.185    839
        868.84   2.175     58
        797.12   1.995   1000
        795.59   1.991    868
    

in CDCl3



liquid film