图谱信息 供应商 相关产品
网站主页CAS数据库列表 1072-63-5更多图谱1-乙烯基咪唑(1072-63-5)核磁图(13CNMR)

1-乙烯基咪唑

产品名称 1-乙烯基咪唑

CAS号1072-63-5

分子式C5H6N2

分子量94.11

展开


  • Mass

    MS-NW-1132          
    1-vinylimidazole
    C5H6N2              (Mass of molecular ion:     94)
    

       Source Temperature: 240 °C
       Sample Temperature: 170 °C
       Reservoir, 75 eV
    

          15.0       1.5
          18.0       1.1
          26.0       7.5
          27.0      16.6
          28.0      12.9
          37.0       1.4
          38.0       3.4
          39.0      13.8
          40.0      28.6
          41.0      52.6
          42.0       3.7
          51.0       1.5
          52.0       4.6
          53.0       1.7
          54.0       3.3
          66.0       3.2
          67.0      26.1
          68.0       5.3
          79.0       1.3
          93.0       3.1
          94.0     100.0
          95.0       6.3
    

90 MHz in CDCl3


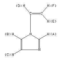
  • 1H NMR 89.56 MHz
    C5 H6 N2 0.02 ml : 0.5 ml CDCl3
    1-vinylimidazole
    ChemicalStructure
        Assign.     Shift(ppm)
    A 7.644 B 7.173 C 7.083 D 6.894 E 5.274 F 4.871

         Hz     ppm     Int.
    

        684.63   7.645    668
        643.63   7.187    498
        642.50   7.174   1000
        641.19   7.160    634
        639.19   7.138     78
        634.25   7.082    800
        630.31   7.038    373
        621.50   6.940    369
        614.56   6.862    405
        605.81   6.765    443
        480.25   5.363    694
        478.56   5.344    719
        464.50   5.187    548
        462.81   5.168    599
        441.25   4.927    445
        439.56   4.908    424
        432.38   4.828    414
        430.81   4.811    373
    

in CDCl3



CCl4 solution



liquid film