图谱信息 供应商 相关产品
网站主页CAS数据库列表 1076-74-0更多图谱5-甲氧基-2-甲基吲哚(1076-74-0)红外图谱(IR1)

5-甲氧基-2-甲基吲哚

产品名称 5-甲氧基-2-甲基吲哚

CAS号1076-74-0

分子式C10H11NO

分子量161.2

展开


  • Mass

    MS-IW-0087          
    5-methoxy-2-methylindole
    C10H11NO            (Mass of molecular ion:    161)
    

       Source Temperature: 260 °C
       Sample Temperature: 150 °C
       Reservoir, 75 eV
    

          18.0       1.8
          39.0       3.6
          42.0       1.1
          50.0       2.3
          51.0       3.7
          52.0       3.2
          53.0       1.2
          62.0       1.7
          63.0       3.8
          64.0       1.8
          65.0       3.8
          74.0       1.0
          75.0       1.6
          76.0       2.8
          77.0       4.4
          78.0       3.9
          80.5       3.3
          89.0       4.3
          90.0       4.4
          91.0       7.8
          92.0       1.0
         102.0       1.7
         103.0       3.1
         104.0       1.1
         116.0       2.8
         117.0      18.5
         118.0      55.0
         119.0       5.1
         128.0       1.2
         130.0       5.0
         131.0       1.2
         132.0       3.4
         145.0       3.4
         146.0      66.9
         147.0       7.7
         160.0       7.8
         161.0     100.0
         162.0      11.3
    

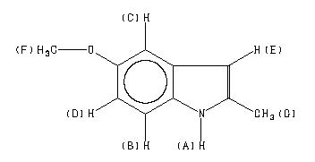
400 MHz in CDCl3


  • 1H NMR 399.65 MHz
    C10 H11 N O 0.034 g : 0.5 ml CDCl3
    5-methoxy-2-methylindole
    ChemicalStructure
        Assign.     Shift(ppm)
    A 7.67 B 7.089 C 6.991 D 6.757 E 6.125 F 3.819 G 2.345

         Hz     ppm     Int.
    

       3065.80   7.672     21
       2837.65   7.101    104
       2828.98   7.079    118
       2795.41   6.995    115
       2792.97   6.989    123
       2706.05   6.772    101
       2703.49   6.765     97
       2697.27   6.750     90
       2694.82   6.743     87
       2450.07   6.131     70
       2449.10   6.129    106
       2448.00   6.126    110
       2447.02   6.123    104
       2446.04   6.121     68
       1526.61   3.820   1000
        938.11   2.348    541
        937.26   2.346    531
    

in CDCl3



KBr disc



nujol mull