-
MS-NW-0576 3,5-xylidine C8H11N (Mass of molecular ion: 121)
Source Temperature: 270 °C Sample Temperature: 170 °C Reservoir, 75 eV
18.0 1.1 27.0 2.5 28.0 3.0 38.0 1.2 39.0 5.0 41.0 2.6 42.0 2.7 50.0 1.4 51.0 3.7 52.0 2.5 53.0 3.6 54.0 1.4 58.5 1.5 59.5 1.7 60.5 1.1 63.0 1.5 65.0 3.1 66.0 1.5 77.0 10.6 78.0 3.5 79.0 5.3 80.0 2.5 91.0 5.9 92.0 1.3 93.0 4.1 94.0 1.6 103.0 2.5 104.0 2.5 105.0 2.6 106.0 41.6 107.0 3.4 118.0 1.8 119.0 1.5 120.0 37.9 121.0 100.0 122.0 9.4
90 MHz in CDCl3
-
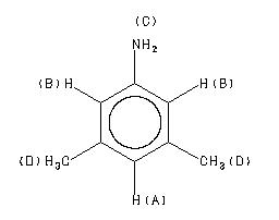
1H NMR 89.56 MHz C8 H11 N 0.04 ml : 0.5 ml CDCl3 3,5-xylidine 
Assign. Shift(ppm)
A 6.40 B 6.30 C 3.46 D 2.207
Hz ppm Int.573.31 6.402 76 572.63 6.394 77 572.00 6.387 65 571.31 6.380 44 565.25 6.312 132 564.69 6.306 182 564.06 6.299 182 563.31 6.290 153 310.00 3.462 454 198.06 2.212 1000 197.44 2.205 959
更多供应商





