图谱信息 供应商 相关产品
网站主页CAS数据库列表 109-20-6更多图谱(E)-3,7-二甲基-2,6-辛二烯醇3-甲基丁酸酯(109-20-6)红外图谱(IR1)

(E)-3,7-二甲基-2,6-辛二烯醇3-甲基丁酸酯

产品名称 (E)-3,7-二甲基-2,6-辛二烯醇3-甲基丁酸酯

CAS号109-20-6

分子式C15H26O2

分子量238.37

展开

400 MHz in CDCl3


  • 1H NMR 399.65 MHz
    C15 H26 O2 0.04 ml : 0.5 ml CDCl3
    geranyl isovalerate
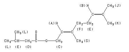
    ChemicalStructure
        Assign.     Shift(ppm)
    A 5.347 B 5.086 C 4.593 D 2.171 E 2.13 to 2.08 F 2.05 G 1.705 J 1.678 K 1.600 L 0.954 ASSIGNED BY H-H COSY.

         Hz     ppm     Int.
    

       2139.04   5.353     30
       2137.70   5.349     53
       2136.47   5.346     54
       2135.13   5.343     31
       2038.45   5.101     33
       2034.06   5.090     41
       2032.84   5.087     58
       2031.74   5.084     63
       2030.27   5.081     46
       2024.90   5.067     32
       1839.36   4.603    138
       1838.75   4.601    137
       1832.15   4.585    133
       1831.67   4.584    133
        876.95   2.195    117
        875.98   2.192    166
        872.92   2.185     74
        871.83   2.182    104
        869.38   2.176    282
        865.23   2.165    173
        854.13   2.138     45
        851.56   2.131     36
        847.78   2.122     70
        845.46   2.116     69
        844.12   2.113     49
        843.38   2.111     51
        841.43   2.106     87
        839.84   2.102     70
        838.75   2.099     80
        837.28   2.096     83
        834.72   2.089     74
        833.50   2.086     65
        832.15   2.083     60
        830.81   2.079     66
        828.13   2.073     33
        826.90   2.070     35
        823.12   2.060     97
        817.87   2.047     54
        815.80   2.042     56
        682.01   1.707    363
        681.40   1.705    346
        680.66   1.704    340
        671.39   1.680    461
        670.41   1.678    449
        639.65   1.601    482
        388.43   0.972     66
        384.40   0.962   1000
        377.81   0.946    937
    

in CDCl3



CCl4 solution



liquid film



4880 A,200 M,liquid