图谱信息 供应商 相关产品
网站主页CAS数据库列表 1096-38-4更多图谱16-去氢黄体酮(1096-38-4)红外图谱(IR1)

16-去氢黄体酮

产品名称 16-去氢黄体酮

CAS号1096-38-4

分子式C21H28O2

分子量312.45

展开



  •     Assign.     Shift(ppm)
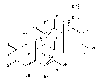
    A 6.711 B 5.736 C 2.44 D 2.44 E 2.48 to 2.30 F *1 2.34 G 2.30 J 2.266 K *1 2.079 L 2.029 M 1.881 N 1.764 P 1.704 Q 1.618 R 1.548 S 1.429 T 1.339 U 1.219 V 1.122 W 1.004 X 0.944 ASSIGNED BY H-H AND C-H COSY. J(A,F)=3.4HZ J(A,K)=1.8HZ J(D,T)=-12.7HZ J(D,R)=4.4HZ J(D,Q)=2.4HZ J(F,K)=-17.1HZ J(F,S)=6.5HZ J(G,V)=4.4HZ J(K,S)=12.1HZ J(L,P)=-13.4HZ J(M,N)=3.7HZ J(N,S)=11.6HZ J(N,W)=10.8HZ J(Q,T)=5.0HZ J(Q,R)=-14.0HZ J(Q,W)=5.2HZ J(R,W)=12.4HZ J(R,T)=12.4HZ
    Spectral Code: 1H NMR : 400 MHz in CDCl3



  •        ppm   Int.  Assign.
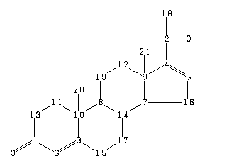
    199.34 572 1 196.57 533 2 170.80 695 3 155.15 571 4 144.01 846 5 123.98 831 6 55.70 886 7 54.11 871 8 46.08 754 9 38.73 806 10 35.56 790 11 34.48 778 12 33.94 886 13 33.87 1000 14 32.70 801 15 32.10 780 16 31.83 755 17 27.08 667 18 20.76 756 19 17.21 671 20 15.81 635 21 ASSIGNED BY C-H COSY.
    Spectral Code: 13C NMR : in CDCl3


  • Spectral Code: IR : nujol mull