图谱信息 供应商 相关产品
网站主页CAS数据库列表 109909-33-3更多图谱1,5,9,13-四硫杂环十六烷-3,11-二醇,顺反混合物(109909-33-3)红外图谱(IR2)

1,5,9,13-四硫杂环十六烷-3,11-二醇,顺反混合物

产品名称 1,5,9,13-四硫杂环十六烷-3,11-二醇,顺反混合物

CAS号109909-33-3

分子式C12H24O2S4

分子量328.58


  • Mass

    MS-IW-0024          
    1,5,9,13-tetrathiacyclohexadecane-3,11-diol
    C12H24O2S4          (Mass of molecular ion:    328)
    

       Source Temperature: 220 °C
       Sample Temperature: 150 °C
       Direct, 75 eV
    

          27.0       1.5
          29.0       1.4
          39.0       2.3
          41.0      12.5
          42.0       1.4
          43.0       3.9
          44.0       1.2
          45.0       8.6
          46.0       4.9
          47.0       6.8
          55.0       2.0
          57.0       2.3
          58.0       1.9
          59.0       3.4
          60.0       5.3
          61.0      14.8
          64.0       1.4
          71.0       1.3
          72.0       2.1
          73.0      22.6
          74.0       6.9
          75.0      11.0
          76.0       4.3
          77.0       1.1
          78.0       1.6
          79.0       1.2
          81.0       1.1
          85.0       2.9
          86.0       2.0
          87.0      10.3
          88.0       4.5
          89.0      19.0
          90.0       2.8
          91.0       3.4
          97.0       1.4
          99.0       2.7
         101.0       2.0
         103.0       3.8
         104.0       3.0
         105.0       7.9
         106.0      52.2
         107.0      13.4
         108.0       6.7
         109.0       1.2
         111.0       1.7
         112.0       4.7
         113.0       5.0
         114.0       2.9
         115.0       7.4
         116.0       1.0
         117.0      14.3
         118.0       2.1
         119.0      21.8
         120.0       8.6
         121.0      58.0
         122.0      17.5
         123.0       7.3
         124.0       1.7
         129.0       5.9
         130.0       2.4
         131.0       9.5
         132.0       2.6
         133.0       3.0
         135.0       5.0
         136.0       2.1
         137.0       1.0
         139.0       1.0
         145.0      17.5
         146.0      14.9
         147.0      20.8
         148.0       4.4
         149.0      26.7
         150.0       2.4
         151.0       2.7
         161.0       5.3
         162.0       2.0
         163.0      26.6
         164.0       8.9
         165.0      32.4
         166.0       3.4
         167.0       3.0
         171.0       1.4
         179.0       5.1
         181.0      19.8
         182.0       1.9
         183.0       2.7
         186.0       3.9
         189.0       1.0
         195.0       2.5
         196.0      10.1
         197.0      18.5
         198.0       3.7
         199.0       2.7
         203.0       2.0
         204.0       4.8
         205.0       2.4
         206.0       1.1
         207.0       2.3
         211.0       5.4
         237.0       3.4
         239.0       5.6
         253.0       1.9
         269.0       5.4
         270.0       2.8
         271.0      42.3
         272.0       5.9
         273.0       7.9
         285.0       1.8
         310.0      58.8
         311.0      10.7
         312.0      11.6
         313.0       2.5
         314.0       2.3
         326.0       1.1
         328.0     100.0
         329.0      16.5
         330.0      19.7
         331.0       3.0
         332.0       1.5
    

400 MHz in CDCl3


  • 1H NMR 399.65 MHz
    C12 H24 O2 S4 0.037 g : 0.5 ml CDCl3
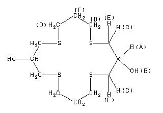
    1,5,9,13-tetrathiacyclohexadecane-3,11-diol
    ChemicalStructure
        Assign.     Shift(ppm)
    A 3.860 B 3.04 C *1 2.827 D 2.68 E *1 2.75 F 1.94 ASSIGNED BY C-H COSY. CIS AND TRANS MIXTURE J(C,E)=-13.8HZ J(A,C)=5.1HZ

         Hz     ppm     Int.
    

       1557.86   3.899     38
       1552.61   3.885    105
       1550.90   3.881     99
       1547.24   3.872    145
       1545.65   3.868    202
       1540.28   3.855    207
       1538.70   3.851    148
       1535.03   3.841    104
       1533.20   3.837    112
       1527.95   3.824     44
       1215.33   3.041    134
       1146.73   2.870     36
       1140.75   2.855    438
       1135.62   2.842    438
       1126.95   2.820    654
       1121.83   2.808    622
       1116.33   2.794     68
       1111.82   2.782    127
       1104.74   2.765    246
       1098.39   2.749    285
       1091.43   2.731    560
       1083.37   2.711    583
       1082.15   2.708    413
       1078.61   2.699    716
       1076.17   2.693    499
       1075.07   2.691    638
       1071.41   2.681   1000
       1067.99   2.673    452
       1064.82   2.665    612
       1063.48   2.662    627
       1061.89   2.658    314
       1057.86   2.647    564
       1056.88   2.645    458
       1054.81   2.640    191
       1049.68   2.627    338
       1041.38   2.606     34
       1039.55   2.602     31
       1039.31   2.601     31
        790.65   1.979    114
        787.35   1.971     91
        783.69   1.961    365
        780.52   1.954    207
        776.73   1.944    525
        773.32   1.935    265
        769.65   1.926    352
        766.24   1.918    190
        762.57   1.909    118
        759.03   1.900     84
        752.20   1.883     30
    

in CDCl3



KBr disc



nujol mull



更多供应商