图谱信息 供应商 相关产品
网站主页CAS数据库列表 110-51-0更多图谱吡啶硼烷(110-51-0)Raman光谱

吡啶硼烷

产品名称 吡啶硼烷

CAS号110-51-0

分子式C5H8BN

分子量92.93

展开


  • Mass

    MS-IW-3731          
    borane-pyridine complex
    C5H5N H3B           (Mass of molecular ion:     93)
    

       Source Temperature: 220 °C
       Sample Temperature: 160 °C
       Reservoir, 75 eV
    

          26.0       8.1
          27.0       3.4
          28.0       3.6
          29.0       1.1
          31.0       2.4
          36.0       1.9
          37.0       6.5
          38.0       5.9
          38.5       1.4
          39.0      12.4
          39.5       1.0
          40.0       1.5
          45.0       1.4
          45.5       1.3
          49.0       4.5
          50.0      21.5
          51.0      34.8
          52.0      81.4
          53.0       9.9
          59.0       1.2
          61.0       1.7
          62.0       2.8
          63.0       6.4
          64.0       7.8
          65.0       5.6
          66.0       1.3
          75.0       2.2
          76.0       1.7
          78.0      13.9
          79.0     100.0
          80.0       8.6
          89.0       2.6
          90.0      11.9
          91.0      16.2
          92.0      29.4
          93.0       1.8
    

400 MHz in CDCl3


  • 1H NMR 399.65 MHz
    C5 H5 N 0.05 ml : 0.5 ml CDCl3
    borane-pyridine complex
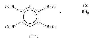
    ChemicalStructure
        Assign.     Shift(ppm)
    A 8.59 B 7.987 C 7.568 D 2.68

         Hz     ppm     Int.
    

       3439.82   8.608    250
       3435.55   8.597    962
       3429.57   8.582    829
       3201.90   8.012    145
       3200.44   8.009    267
       3199.83   8.007    257
       3198.36   8.003    140
       3192.75   7.989    545
       3192.14   7.988    522
       3186.52   7.974    180
       3184.94   7.970    310
       3184.45   7.969    299
       3182.86   7.965    165
       3031.37   7.586    928
       3030.03   7.582    479
       3025.88   7.572    547
       3024.66   7.569   1000
       3023.56   7.566    914
       3016.97   7.550    772
       1210.45   3.029     42
       1120.85   2.805     57
       1080.57   2.704     33
       1018.07   2.548     56
        928.96   2.325     41
    

in CDCl3



KBr disc



nujol mull