图谱信息 供应商 相关产品
网站主页CAS数据库列表 111180-78-0更多图谱1-氨基-2-甲基萘盐酸盐(111180-78-0)红外图谱(IR1)

1-氨基-2-甲基萘盐酸盐

产品名称 1-氨基-2-甲基萘盐酸盐

CAS号111180-78-0

分子式C11H12ClN

分子量

展开


  • Mass

    MS-IW-7345          
    2-methyl-1-naphthylamine hydrochloride
    C11H11N HCl         (Mass of molecular ion:    157)
    

       Source Temperature: 150 °C
       Sample Temperature: 130 °C
       Direct, 75 eV
    

          36.0       8.9
          38.0       3.0
          51.0       1.6
          63.0       1.8
          64.0       2.1
          64.5       1.1
          65.0       3.7
          65.5       4.3
          76.5       1.5
          77.0       4.5
          77.5       3.8
          78.0       5.4
          78.5       8.8
          79.0       1.1
         115.0       2.3
         116.0       1.7
         126.0       1.0
         127.0       5.9
         128.0      10.6
         129.0      12.4
         130.0       2.7
         139.0       3.6
         140.0       4.2
         141.0       3.5
         154.0       2.6
         156.0      61.6
         157.0     100.0
         158.0      12.0
    

400 MHz in DMSO-d6


  • 1H NMR 399.65 MHz
    C11 H11 N 0.040 g : 0.5 ml DMSO-d6
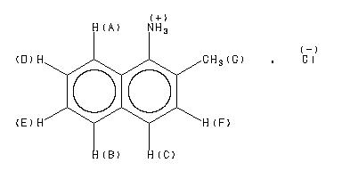
    2-methyl-1-naphthylamine hydrochloride
    ChemicalStructure
        Assign.     Shift(ppm)
    A 8.364 B 7.968 C *1 7.846 D 7.632 E 7.556 F *1 7.434 G 2.295

         Hz     ppm     Int.
    

       3348.65   8.379    121
       3340.59   8.359    127
       3340.04   8.358    128
       3188.75   7.979    117
       3181.05   7.960    128
       3138.74   7.854    150
       3130.32   7.833    167
       3059.43   7.656     58
       3057.96   7.652     64
       3052.47   7.638     98
       3051.00   7.635    124
       3049.54   7.631     69
       3044.04   7.617     91
       3042.58   7.614     84
       3027.19   7.575     93
       3026.28   7.573     99
       3019.13   7.555    131
       3018.22   7.553    101
       3012.17   7.538     62
       3011.26   7.535     59
       2975.36   7.445    206
       2966.75   7.424    187
       1037.46   2.596   1000
    

in DMSO-d6



KBr disc



nujol mull