-
MS-NW-1497 geranyl-linalool C20H34O (Mass of molecular ion: 290)
Source Temperature: 250 °C Sample Temperature: 180 °C Reservoir, 75 eV
18.0 4.8 27.0 5.6 28.0 3.4 29.0 7.3 39.0 7.4 40.0 2.2 41.0 53.0 42.0 2.8 43.0 10.8 51.0 1.2 53.0 10.4 54.0 1.1 55.0 24.5 56.0 1.6 57.0 3.9 65.0 3.2 66.0 1.2 67.0 16.2 68.0 9.3 69.0 100.0 70.0 6.1 71.0 7.7 77.0 8.2 78.0 1.6 79.0 14.1 80.0 5.8 81.0 48.4 82.0 6.7 83.0 5.6 91.0 10.0 92.0 4.3 93.0 36.7 94.0 6.3 95.0 16.3 96.0 2.2 97.0 2.4 105.0 9.5 106.0 2.7 107.0 17.1 108.0 3.6 109.0 10.4 110.0 1.4 111.0 1.1 117.0 1.0 119.0 12.8 120.0 7.2 121.0 9.7 122.0 3.3 123.0 5.5 131.0 1.3 132.0 3.3 133.0 8.5 134.0 6.1 135.0 9.3 136.0 3.9 137.0 5.0 145.0 1.8 146.0 1.4 147.0 5.2 148.0 2.5 149.0 1.8 159.0 2.4 161.0 5.7 162.0 1.4 163.0 1.0 175.0 1.3 177.0 1.1 187.0 2.2 189.0 2.0 190.0 1.2 191.0 1.3 203.0 2.8 204.0 1.7 229.0 1.1 272.0 3.3
90 MHz in CDCl3
-
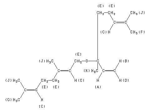
1H NMR 89.56 MHz C20 H34 O 0.04 ml : 0.5 ml CDCl3 geranyl-linalool 
Assign. Shift(ppm)
A 5.90 B 5.18 C 5.12 D 5.07 E 2.26 to 1.80 F *1 1.69 G *1 1.68 J *1 1.60 K 1.28
Hz ppm Int.534.56 5.969 73 527.69 5.893 96 526.94 5.884 66 517.19 5.775 122 516.44 5.767 88 475.13 5.306 113 473.50 5.287 164 462.81 5.168 63 459.81 5.135 126 458.31 5.118 260 457.88 5.113 280 456.25 5.095 251 453.38 5.063 87 453.00 5.059 85 452.13 5.049 72 451.50 5.042 72 447.81 5.001 120 446.25 4.983 113 187.63 2.096 124 183.81 2.053 331 180.63 2.017 555 180.13 2.012 559 179.75 2.008 552 173.25 1.935 75 172.06 1.922 85 171.50 1.915 81 150.94 1.686 689 150.00 1.675 695 146.50 1.636 193 143.13 1.599 1000 114.31 1.277 982
更多供应商




