图谱信息 供应商 相关产品
网站主页CAS数据库列表 1122-72-1更多图谱6-甲基-2-吡啶甲醛(1122-72-1)Raman光谱

6-甲基-2-吡啶甲醛

产品名称 6-甲基-2-吡啶甲醛

CAS号1122-72-1

分子式C7H7NO

分子量121.14

展开


  • Mass

    MS-IW-7548          
    6-methyl-2-pyridinecarbaldehyde
    C7H7NO              (Mass of molecular ion:    121)
    

       Source Temperature: 220 °C
       Sample Temperature: 150 °C
       Reservoir, 75 eV
    

          26.0       1.1
          27.0       2.1
          28.0       2.1
          29.0       2.0
          37.0       2.1
          38.0       4.0
          39.0      18.1
          40.0       4.0
          41.0       2.7
          42.0       1.4
          50.0       4.2
          51.0       6.3
          52.0       4.8
          53.0       2.7
          54.0       1.4
          61.0       1.1
          62.0       1.9
          63.0       5.4
          64.0       5.2
          65.0      37.5
          66.0      44.5
          67.0       5.6
          78.0       7.5
          79.0       1.0
          91.0       2.9
          92.0      39.0
          93.0     100.0
          94.0       7.3
         121.0      27.3
         122.0       3.6
    

400 MHz in CDCl3


  • 1H NMR 399.65 MHz
    C7 H7 N O 0.038 g : 0.5 ml CDCl3
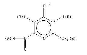
    6-methyl-2-pyridinecarbaldehyde
    ChemicalStructure
        Assign.     Shift(ppm)
    A 10.050 B 7.78 C 7.77 D 7.400 E 2.668

         Hz     ppm     Int.
    

       4016.88  10.051    309
       4016.27  10.050    392
       3115.54   7.796     32
       3110.50   7.784    362
       3107.91   7.777    150
       3107.45   7.776    151
       3104.55   7.769    136
       3103.94   7.767    138
       3096.92   7.750     28
       3096.31   7.748     30
       2962.04   7.412     86
       2961.58   7.411     89
       2959.29   7.405     60
       2958.83   7.404     58
       2955.78   7.396     92
       2953.19   7.390     80
       2952.73   7.389     82
       1066.44   2.669   1000
    

in CDCl3



liquid film