图谱信息 供应商 相关产品
网站主页CAS数据库列表 1128-61-6更多图谱6-氟-2-甲基喹啉(1128-61-6)红外图谱(IR2)

6-氟-2-甲基喹啉

产品名称 6-氟-2-甲基喹啉

CAS号1128-61-6

分子式C10H8FN

分子量161.18

展开


  • Mass

    MS-IW-3641          
    6-fluoro-2-methylquinoline
    C10H8FN             (Mass of molecular ion:    161)
    

       Source Temperature: 230 °C
       Sample Temperature: 160 °C
       Reservoir, 75 eV
    

          39.0       1.2
          50.0       1.6
          51.0       1.2
          57.0       1.7
          63.0       1.5
          66.5       1.0
          67.5       2.4
          74.0       1.7
          75.0       2.0
          79.5       1.2
          80.5       3.3
          81.0       1.7
          93.0       1.3
          94.0       3.4
          95.0       1.5
          99.0       2.7
         100.0       1.0
         107.0       3.0
         108.0       2.1
         119.0       2.9
         120.0       1.6
         126.0       3.5
         131.0       1.0
         132.0       1.3
         133.0      15.3
         134.0       7.1
         135.0       3.5
         140.0       1.2
         146.0      12.5
         147.0       1.3
         158.0       2.5
         159.0       1.4
         160.0      15.3
         161.0     100.0
         162.0      11.3
    

400 MHz in CDCl3


  • 1H NMR 399.65 MHz
    C10 H8 F N 0.053 g : 0.5 ml CDCl3
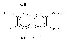
    6-fluoro-2-methylquinoline
    ChemicalStructure
        Assign.     Shift(ppm)
    A 7.996 B 7.943 C 7.429 D 7.345 E 7.260 F 2.715

         Hz     ppm     Int.
    

       3203.37   8.016     88
       3198.12   8.003     91
       3194.21   7.993     99
       3188.84   7.980     98
       3178.34   7.953    167
       3169.92   7.932    176
       2979.13   7.455     76
       2976.32   7.448     87
       2970.70   7.434     89
       2969.97   7.432     84
       2967.90   7.427    104
       2967.16   7.425     99
       2961.55   7.411     70
       2958.74   7.404     83
       2941.41   7.360    121
       2938.60   7.353    105
       2932.62   7.338    122
       2929.69   7.331    106
       2906.01   7.272    162
       2905.52   7.271    163
       2897.58   7.251    153
       2896.97   7.249    156
       1085.08   2.716   1000
    

in CDCl3



KBr disc



nujol mull