-
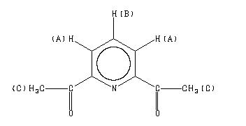
MS-NW-6519 2,6-diacetylpyridine C9H9NO2 (Mass of molecular ion: 163)
Source Temperature: 260 °C Sample Temperature: 190 °C Reservoir, 75 eV
15.0 7.1 26.0 1.3 27.0 1.4 28.0 1.9 37.0 1.0 38.0 1.8 39.0 3.3 42.0 3.7 43.0 100.0 44.0 2.5 50.0 4.9 51.0 6.2 52.0 3.5 53.0 1.0 63.0 1.7 64.0 1.8 65.0 3.2 66.0 2.3 75.0 1.3 76.0 2.8 77.0 3.2 78.0 9.1 79.0 8.7 92.0 1.8 93.0 20.4 94.0 1.6 106.0 24.6 107.0 1.8 120.0 27.7 121.0 36.7 122.0 3.5 135.0 19.2 136.0 1.8 148.0 1.9 163.0 58.8 164.0 6.3
90 MHz in CDCl3
更多供应商







