图谱信息 供应商 相关产品
网站主页CAS数据库列表 1129-37-9更多图谱4-硝基苯甲醛肟(1129-37-9)质谱(MS)

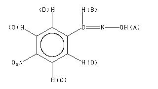
4-硝基苯甲醛肟

产品名称 4-硝基苯甲醛肟

CAS号1129-37-9

分子式C7H6N2O3

分子量166.13

展开


  • Mass

    MS-IW-0821          
    p-nitrobenzaldehyde oxime
    C7H6N2O3            (Mass of molecular ion:    166)
    

       Source Temperature: 130 °C
       Sample Temperature: 110 °C
       Direct, 75 eV
    

          17.0       1.1
          18.0       6.0
          27.0       1.5
          28.0       4.3
          30.0       5.4
          38.0       1.6
          39.0      11.9
          44.0       1.1
          50.0      13.4
          51.0       9.5
          52.0       3.0
          53.0       4.9
          62.0       2.2
          63.0       8.0
          64.0       5.1
          65.0      29.2
          66.0       2.6
          74.0       4.8
          75.0      21.2
          76.0      21.6
          77.0       8.8
          78.0       1.2
          80.0       1.0
          81.0       6.4
          89.0       2.8
          90.0       5.4
          91.0       5.2
          92.0       8.2
          93.0       7.0
         102.0      20.4
         103.0      13.1
         104.0       2.5
         109.0       1.1
         118.0       4.7
         119.0       8.8
         120.0       6.2
         123.0       2.0
         136.0      11.5
         137.0       1.0
         139.0       3.1
         148.0      10.2
         149.0       4.6
         150.0       5.6
         166.0     100.0
         167.0       9.4
         168.0       1.0
    

400 MHz in DMSO-d6


  • 1H NMR 399.65 MHz
    C7 H6 N2 O3 0.037 g : 0.5 ml DMSO-d6
    p-nitrobenzaldehyde oxime
    ChemicalStructure
        Assign.     Shift(ppm)
    A 11.9 B 8.329 C 8.267 D 7.877

         Hz     ppm     Int.
    

       4753.72  11.895     96
       4753.35  11.894     96
       3329.05   8.330   1000
       3317.51   8.302     23
       3311.28   8.286    107
       3309.09   8.280    802
       3307.07   8.275    279
       3302.13   8.263    281
       3300.11   8.258    922
       3297.91   8.252    147
       3155.04   7.895    121
       3152.66   7.889    831
       3150.83   7.884    283
       3148.27   7.878     46
       3145.70   7.872    253
       3143.69   7.867    759
       3141.49   7.861    119
    

in DMSO-d6



KBr disc



nujol mull