-
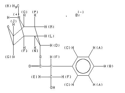
MS-IW-1045 scopolamine hydrobromide C17H21NO4 HBr 3H2O (Mass of molecular ion: 303)
Source Temperature: 170 °C Sample Temperature: 150 °C Direct, 75 eV
15.0 1.0 17.0 2.4 18.0 13.0 27.0 1.8 28.0 5.7 29.0 2.8 30.0 2.8 31.0 1.1 39.0 4.3 40.0 1.0 41.0 9.3 42.0 29.4 43.0 3.6 44.0 4.9 51.0 2.7 52.0 1.0 53.0 2.4 54.0 1.7 55.0 5.5 56.0 4.1 57.0 12.4 58.0 3.4 63.0 2.3 65.0 4.5 66.0 1.9 67.0 7.3 68.0 8.1 69.0 4.8 70.0 6.1 71.0 1.3 72.0 1.6 77.0 9.1 78.0 4.3 79.0 8.0 80.0 27.5 81.0 19.4 82.0 26.7 83.0 3.9 84.0 3.4 86.0 1.9 89.0 7.3 90.0 10.8 91.0 12.3 92.0 2.5 93.0 8.2 94.0 100.0 95.0 11.0 96.0 9.8 97.0 19.3 98.0 4.3 102.0 1.0 103.0 16.8 104.0 4.0 105.0 1.1 106.0 3.0 107.0 4.2 108.0 44.6 109.0 9.9 110.0 12.5 111.0 3.5 112.0 2.0 118.0 13.9 119.0 1.9 120.0 15.6 121.0 10.5 122.0 5.2 123.0 1.5 124.0 2.3 126.0 2.6 136.0 39.1 137.0 24.1 138.0 73.9 139.0 7.1 140.0 1.1 148.0 1.6 154.0 51.0 155.0 7.9 156.0 1.3 214.0 1.8 285.0 3.8 286.0 1.4 303.0 36.2 304.0 7.8 305.0 1.1
400 MHz in D2O
-
1H NMR 399.65 MHz C17 H21 N O4 0.032 g : 0.5 ml D2O scopolamine hydrobromide 
Assign. Shift(ppm)
A 7.456 B 7.42 C 7.39 D 5.072 E 4.201 F 3.99 to 3.95 G 3.82 J 3.075 K 2.833 L 2.474 M 2.407 N 2.052 P 1.843 SOLVENT PEAK REMOVED. ASSIGNED BY H-H COSY.
Hz ppm Int.2982.54 7.463 220 2980.83 7.459 171 2976.56 7.448 110 2975.22 7.445 253 2974.61 7.444 229 2968.26 7.428 136 2966.80 7.424 125 2961.30 7.410 155 2956.30 7.398 260 2954.59 7.393 306 2949.71 7.381 98 2948.00 7.377 181 2946.78 7.374 149 2031.98 5.085 65 2031.74 5.084 65 2026.86 5.072 116 2021.97 5.060 63 1692.50 4.235 50 1683.84 4.214 52 1681.76 4.209 116 1678.59 4.201 117 1676.39 4.195 56 1667.97 4.174 77 1599.61 4.003 78 1597.41 3.998 49 1592.77 3.986 167 1590.58 3.980 253 1588.99 3.976 233 1583.62 3.963 164 1580.57 3.955 103 1576.90 3.946 169 1528.69 3.826 135 1526.61 3.820 262 1523.07 3.812 186 1230.59 3.080 175 1227.29 3.071 170 1132.45 2.834 1000 998.90 2.500 50 997.80 2.497 53 985.60 2.467 52 981.69 2.457 60 980.71 2.454 66 976.07 2.443 70 970.83 2.430 58 958.37 2.399 50 953.49 2.386 64 949.22 2.376 45 828.61 2.074 80 828.25 2.073 81 811.16 2.030 66 810.79 2.029 67 744.26 1.863 80 727.17 1.820 68 726.93 1.819 68
更多供应商





