图谱信息 供应商 相关产品
网站主页CAS数据库列表 1142-20-7更多图谱苄氧羰基-L-丙氨酸(1142-20-7)核磁图(13CNMR)

苄氧羰基-L-丙氨酸

产品名称 苄氧羰基-L-丙氨酸

CAS号1142-20-7

分子式C11H13NO4

分子量223.23

展开


  • Mass

    MS-NW-2478          
    N-benzyloxycarbonyl-L-alanine
    C11H13NO4           (Mass of molecular ion:    223)
    

       Source Temperature: 210 °C
       Sample Temperature: 150 °C
       Direct, 75 eV
    

          15.0       4.4
          18.0       2.2
          26.0       2.8
          27.0       6.7
          28.0      32.6
          29.0       3.0
          31.0       1.7
          38.0       2.1
          39.0       7.9
          40.0       2.5
          41.0       3.8
          42.0      11.2
          43.0      36.5
          44.0       7.2
          45.0       1.6
          50.0       5.0
          51.0      12.5
          52.0       3.6
          53.0       2.8
          55.0       1.0
          62.0       1.3
          63.0       3.7
          64.0       1.1
          65.0      10.2
          70.0       4.8
          71.0       2.5
          74.0       2.0
          77.0      27.0
          78.0       6.7
          79.0      66.3
          80.0       7.0
          88.0       5.0
          89.0       6.0
          90.0       7.9
          91.0      79.2
          92.0       7.5
         105.0       2.7
         106.0       1.1
         107.0      49.9
         108.0     100.0
         109.0       7.8
         115.0       1.8
         134.0       3.1
         223.0       1.9
    

90 MHz in CDCl3


  • 1H NMR 89.56 MHz
    C11 H13 N O4 0.047 g : 0.5 ml CDCl3
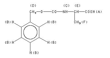
    N-benzyloxycarbonyl-L-alanine
    ChemicalStructure
        Assign.     Shift(ppm)
    A 10.89 B 7.32 C 5.4 D 5.116 E 4.39 F 1.436

         Hz     ppm     Int.
    

        974.98  10.887    140
        662.15   7.394     25
        655.99   7.325   1000
        650.70   7.266     25
        649.93   7.257     23
        458.26   5.117    279
        394.26   4.403     23
        393.41   4.393     25
        392.90   4.388     26
        392.55   4.384     25
        392.21   4.380     24
        132.28   1.477    282
        129.03   1.441     34
        128.26   1.433     33
        125.01   1.396    268
    

in CDCl3



KBr disc



nujol mull



4880 A,200 M,powder