图谱信息 供应商 相关产品
网站主页CAS数据库列表 115-18-4更多图谱2-甲基-3-丁烯-2-醇(115-18-4)Raman光谱

2-甲基-3-丁烯-2-醇

产品名称 2-甲基-3-丁烯-2-醇

CAS号115-18-4

分子式C5H10O

分子量86.13

展开


  • Mass

    MS-NW-1103          
    2-methyl-3-buten-2-ol
    C5H10O              (Mass of molecular ion:     86)
    

       Source Temperature: 250 °C
       Sample Temperature: 170 °C
       Reservoir, 75 eV
    

          15.0       5.4
          18.0       1.6
          26.0       2.6
          27.0      16.0
          28.0       3.1
          29.0       3.0
          31.0      12.8
          38.0       1.6
          39.0      10.5
          40.0       2.2
          41.0      26.2
          42.0       2.4
          43.0      55.4
          44.0       1.9
          45.0       3.1
          50.0       1.5
          51.0       1.9
          53.0       8.2
          55.0       2.9
          58.0       5.7
          59.0      32.9
          60.0       1.1
          67.0       3.6
          68.0       1.9
          69.0       5.5
          71.0     100.0
          72.0       4.5
          73.0       1.1
          86.0       1.3
    

parameter in CDCl3


  • 1H NMR 300 MHz
    C5 H10 O 9.8 mol% in CDCl3
    2-methyl-3-buten-2-ol
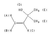
    ChemicalStructure
        Parameter     ppm  Hz
    D(A) 5.197 D(B) 4.978 D(C) 5.988 J(A,B) 1.21 J(A,C) 17.37 J(B,C) 10.70 D(D) 2.171 D(E) 1.311

         Hz     ppm     Int.
    

       1810.83   6.036     37
       1800.14   6.000     40
       1793.50   5.978     43
       1782.85   5.943     46
       1568.10   5.227     48
       1566.91   5.223     50
       1550.71   5.169     42
       1549.52   5.165     42
       1499.27   4.998     48
       1498.08   4.994     46
       1488.58   4.962     44
       1487.39   4.958     43
        651.31   2.171    167
        393.30   1.311   1000
    

in CDCl3



CCl4 solution



liquid film



4880 A,200 M,liquid