图谱信息 供应商 相关产品
网站主页CAS数据库列表 1155-62-0更多图谱N-苄氧羰基-L-谷氨酸(1155-62-0)质谱(MS)

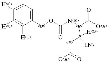
N-苄氧羰基-L-谷氨酸

产品名称 N-苄氧羰基-L-谷氨酸

CAS号1155-62-0

分子式C13H15NO6

分子量281.26

展开


  • Mass

    MS-IW-8793          
    N-benzyloxycarbonyl-L-glutamic acid
    C13H15NO6           (Mass of molecular ion:    281)
    

       Source Temperature: 190 °C
       Sample Temperature: 190 °C
       Direct, 75 eV
    

          16.0       1.3
          17.0       3.2
          18.0      15.4
          26.0       4.3
          27.0      10.4
          28.0      35.6
          29.0       4.8
          30.0       1.7
          31.0       2.1
          36.0       2.3
          37.0       2.1
          38.0       4.1
          39.0      12.9
          40.0       3.0
          41.0      21.5
          42.0       6.7
          43.0       4.4
          44.0      65.0
          45.0       4.5
          50.0       8.0
          51.0      17.4
          52.0       6.3
          53.0       6.7
          53.5       1.8
          54.0       6.6
          55.0       9.8
          56.0      11.6
          57.0       1.6
          60.0       6.2
          61.0       1.4
          62.0       2.6
          63.0       5.9
          64.0       2.0
          65.0      12.5
          66.0       1.8
          67.0       2.6
          68.0       1.1
          69.0       1.5
          73.0       6.3
          74.0       7.8
          75.0       2.0
          76.0       1.7
          77.0      47.1
          78.0      12.1
          79.0      94.2
          80.0       9.1
          82.0       2.3
          83.0      13.4
          84.0      81.7
          85.0       5.7
          86.0       1.2
          89.0       8.4
          90.0      10.7
          91.0      50.1
          92.0      12.2
          93.0       1.0
          99.0       1.4
         101.0       2.4
         102.0       1.2
         105.0       7.4
         106.0       4.4
         107.0      78.3
         108.0     100.0
         109.0       8.0
         111.0       4.4
         127.0       4.1
         128.0       1.1
         129.0       3.1
         130.0       2.6
         155.0       8.1
    

400 MHz in DMSO-d6


  • 1H NMR 399.65 MHz
    C13 H15 N O6 0.033 g : 0.5 ml DMSO-d6
    N-benzyloxycarbonyl-L-glutamic acid
    ChemicalStructure
        Assign.     Shift(ppm)
    A 12.4 B 7.61 C 7.31 to 7.38 D 5.038 E 4.006 F 2.308 G *1 1.971 J *1 1.766 J(B,E)=8.2HZ

         Hz     ppm     Int.
    

       3044.23   7.618    116
       3035.98   7.597    121
       2955.21   7.395     30
       2947.33   7.375    230
       2945.87   7.372    295
       2942.20   7.362   1000
       2937.44   7.351    126
       2934.88   7.344     52
       2932.50   7.338    109
       2930.11   7.332     92
       2928.47   7.328     87
       2924.07   7.317     99
       2922.42   7.313     83
       2919.49   7.306     56
       2919.12   7.305     56
       2915.64   7.296     35
       2013.73   5.039    613
       1612.23   4.035     37
       1607.29   4.022     47
       1603.99   4.014     56
       1602.89   4.011     63
       1599.41   4.003     58
       1599.04   4.002     58
       1598.13   3.999     56
       1594.83   3.991     47
       1589.70   3.978     37
        932.32   2.333     68
        929.94   2.327     43
        927.37   2.321     77
        924.62   2.314    127
        921.51   2.306     96
        919.50   2.301     92
        916.75   2.294     81
        913.27   2.286     71
        799.34   2.001     31
        793.84   1.987     47
        788.17   1.973     34
        785.42   1.966     50
        780.47   1.953     42
        778.27   1.948     30
        777.91   1.947     30
        715.27   1.790     34
        714.90   1.789     34
        709.77   1.776     43
        708.85   1.774     44
        707.39   1.771     34
        706.66   1.769     35
        704.46   1.763     35
        700.61   1.754     42
        694.93   1.739     30
    

in DMSO-d6



KBr disc



nujol mull



4880 A,200 M,powder